设为首页收藏本站

弧论坛

 找回密码
 立即注册
搜索
热搜: 活动 交友 discuz
查看: 2235|回复: 0
打印 上一主题 下一主题

数学之美——从一个神经科学实验讲起

[复制链接]

5917

主题

6625

帖子

7185

积分

坛主

Rank: 10Rank: 10Rank: 10

积分
7185
跳转到指定楼层
楼主
发表于 2023-8-9 23:50 | 只看该作者 回帖奖励 |倒序浏览 |阅读模式
数学之美——从一个神经科学实验讲起

中国科学院数学与系统科学研究院
[color=rgba(0, 0, 0, 0.9)] [color=var(--weui-FG-2)]2023-08-09 23:31
The following article is from 数理人文 Author David Mumford


作者:大卫·芒福德(David Mumford),美国代数几何学家,长期任教于哈佛大学,曾获菲尔兹奖(1974)、麦克阿瑟奖(1987)、沃尔夫奖(2008)。他后来转往应用数学,研究视觉与模式理论,现为哈佛与布朗大学退休教授。
译者:周树静为台湾数学科普译者。

本文译自 Math & Beauty & Brain Areas, Mumford Blog, 10/11/2015。感谢芒福德教授同意译为中文,中译文刊登于《数理人文》杂志第 7 期(2016 年 1 月)与《数学与人文》丛书第 21 辑《数学百草园》(2017 年)。未经授权,不得转载。


                               
登录/注册后可看大图
David Mumford
(油画照片来源:蕉岭丘成桐国际会议中心)

针对数学的普遍特性,一般大众对两个问题相当感兴趣,一是数学家很喜欢谈的“美丽结果”,到底是什么意思?二是做数学研究时,是否有一些特定的大脑皮质会十分活跃?


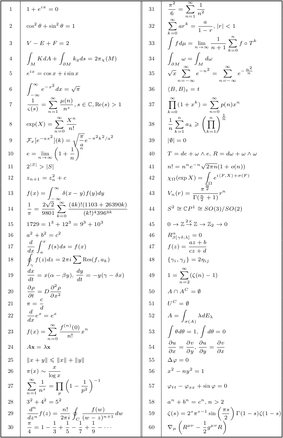
最近,阿蒂亚(Michael Atiyah)和泽基(Semir Zeki)两位教授合作,以令人讶异的实验研究将两个问题合而为一,名为“数学美感经验与其神经关联”(The experience of mathematical beauty and its neural correlates)。他们请 15 位数学家观察 60 个公式,以丑、中性、美为这些公式评分(见下表),同时以功能性核磁共振造影(fMRI)扫描他们的脑部。这项研究的主要结论是美感评价和内侧眼窝额叶皮质(medial orbital frontal cortex;mOFC)有某种程度的关联(虽然 mOFC 活动相对于基线减弱的现象有点奇怪)。



                               
登录/注册后可看大图

阿蒂亚与泽基的 60 个公式(上表列出阿蒂亚为这次实验选的 60 个公式,本来的文件中还有各公式的简短说明,但这里因篇幅限制删除。)

这篇文章的主旨,是要论证主观性与参与者从事数学活动时的兴奋感(包括美的知觉),会因数学家不同而有很大的差异,因此思考数学时很可能牵涉到相当不同的脑区。我的说法并没有什么科学依据,主要是来自我与数学同仁的互动交谈,惊讶地发现大家“做数学”的方式真是南辕北辙。


容我先向读者致歉,大部分我想说的,即使你不是数学家也能理解,但是为了言而有据,我不得不述及许多数学家与数学结果,这些部分可能只有我的数学家朋友比较熟悉。文中我为非数学家提供一些让想法更明白的背景,但这种折中并不容易。


我认为数学家可以分成几个部落,区别在于促使他们进入神秘思考世界的不同强烈动因。我喜欢把这些部落称为“探险家”(Explorer)、“炼金师”(Alchemist)、“角力士”(Wrestler)、“侦探”(Detective)。当然,有许多数学家往返于不同的部落,某些数学结果也很难明显归类于某一个部落的特性。


探险家喜欢追问有什么东西具备怎样的性质?以及如果有的话,总共有几种。探险家觉得他们正在发现遥远数学大陆的风土,倚靠纯粹思考的力量或灵光闪烁,传回异国事物的信息。对他们而言,最美丽的东西莫过于他们发现的全新事物,这种想法更被他们之中名为“寻宝家”(Gem Collector)的子部落奉为圭臬。探险家部落里还有另一个子部落称为“地图测绘师”(Mapper),他们希望能提供描述新大陆的某种地图,而不仅止于景点要览(sehenswürdigkeiten)而已。


炼金师最兴奋的事,是找出两个原来毫不相干的数学领域彼此之间的连接,这就像是把一个烧瓶中的液体倒入另一个烧瓶,然后令人惊奇的事情就发生了,好像爆炸一样!


角力士把焦点放在不同物体的相对大小或强度,他们的蓬勃发展靠的不是数与数的等式,而是不等式——某个量能否用另一个量来估计或限制,渐近地估计成长的大小或速率。这个部落主要是由分析学家和擅于测量函数大小的“积分人”所构成,但是所有领域的人都受到他们的吸引。


最后,侦探则是固执地追寻最困难深刻的问题,到处找寻线索,确定保有持续追查的路线,经常要花上数年或数十年的光景。这个部落有一个称为“露天采矿者”(Strip Miner)的子部落,其中的数学家相信在可见的表层下方有一整个隐藏的矿层,因此必须先剥除表面的地层才能真正解决问题。这个隐藏的矿层通常更抽象,就像语法语言学家所追求的“深层结构”(deep structure)一样。另一个子部落称为“施洗者”(Baptizer),他们为事物择取崭新的名称,借由形式的定义与命名,才让原先隐藏的关键对象得以展露其重要意义。



探险家

下面,我想针对每一部落,举出他们认为优美的结果,以及部落中我所知道或交谈过的数学家。


探险家部落最典型的发现是古希腊的五个柏拉图物体,也就是仅有的凸正多面体(经由旋转,可以将某顶点或面转到另一顶点或面的多面体)。这项发现有人归功于泰特托斯(Theaetetus),柏拉图曾经在他的对话录《蒂迈欧篇》(Timaeus)中描述过,并由欧几里得在《几何原本》中仔细构造出来。有件事很有趣,据我所知,不论是印度或中国的典籍,在17世纪与西方数学传统交汇之前,完全不曾出现 12 面体与 20 面体的记载。




将数学宇宙从三维扩张到高维的想法,启动了一波探险家的淘金潮。19 世纪,瑞士数学家司拉弗里(Ludwig Schläfli)将正多面体的名单延伸到  维,四维有六种,更高维度则都只有三种。到了 20 世纪,探讨所有可能的低维流形(无论是拓扑、分段线性或光滑的分类)一直是大家瞩目的焦点。


我熟识的与我同一代的数学家瑟斯顿(William Thurston),显然是探险家部落的一员。瑟斯顿是绝妙的拓扑学家,更令我好奇的是他天生斜视,因此对三维世界的理解,被迫要更依赖大脑的顶叶区域(parietal area)与手眼协调,而非靠枕叶皮质(occipital cortex)以立体视觉来学习。我从没碰到过任何人具备与他类似的可视化技能,或许考克斯特(Harold S. M. Coxeter)是例外。


不过探险家型的数学家并不全是几何学家,有限单群(finite simple group)的全面表列无疑是 20 世纪最优美与令人惊异的发现之一。阿廷(Michael Artin)虽然不是标准的探险家(他的后半职业生涯奉献给侦探型的研究),但他发现了一片极为丰富的非交换环(non-commutative ring)世界,介于近乎交换与完全无限制的广大领域之间。他踏入的是没有人知道可以发现什么的大陆,这项探险仍在进行中。另外还有最奇特、近乎神学的“高阶无穷”领域,这是集合论者所揭露的世界。


我自己的职业生涯集中在“地图测绘师”这个子部落。我所绘制的地图是簇的模空间(moduli spaces of varieties,这是有限维的空间)与欧氏空间子流形的模空间(无穷维的空间)。不过,我们有证据相信最早的探险家部落成员,甚至最早的数学家,基本上是地图测绘师。我所想的是以楔形文字书写勘查泥板的故事,当时世界上最早的组织性国家,正面临记录田地所有权与从农民课税的政务。很幸运,人类拥有许多公元前 3000 年到约前 500 年的美索不达米亚泥板,其中许多泥板包含土地的简图,或因勘查业务而生的几何建物的地图。很显然,应该就是这些泥板抄写员接着发明了几何代数、毕氏法则以及二次方程,这是基于实际的土地运用与会计难题而产生的。他们对于证明并不感兴趣,只关心土地测量例如距离与面积的各种算法,他们称之为手持绳索与测量芦苇的女神尼莎芭(Nisaba)的智慧。


阿蒂亚与泽基的公式名单中只有很少的探险家结果,或许是因为他们的成就通常不以公式呈现,但是其中仍然包含了三颗宝石:#12 的芒德布罗集(Mandelbrot set);#15 是将一整数以两种方式表示成立方和,因为拉曼努真(Srinivasa Ramanujan)将这个表示告知利特尔伍德(John Littlewood)而闻名;#28 是(3, 4, 5)  可构成直角三角形。

顺便一提,由费德曼(Bob Feldman)和洛克摩(Dan Rockmore)所启动的 Concinnitas 计划,邀请了十位数理科学家选出十个公式。其中包含了从有限单群选出的一颗宝石:芮(Rimhak Ree)所发现的群。另外,在我自己的研究里带来无穷乐趣的事情之一,就是发现特别而无人知晓的几何物体,例如我曾发现一个负曲率的代数曲面,但是它的同调群却和正曲率的P2  一样。


炼金师

对许多人来说,数学中最美妙的结果,莫过于面对两个非常遥远的主题,却能揭露两者之间的深刻关系,例如代数与几何、代数与分析,或者几何与分析之间的连接。这样的连接暗示了某种隐藏的统一性,只是以前被我们的凡人之眼所忽略,唯有偶然窥见时才绽放炫目的光芒。


一个早期的范例是三等分角的几何问题与解三次方程的代数方程之间的连接。前者是古希腊传统的重要未解问题之一。而在文艺复兴时期,意大利代数学者发现了一个神秘的三次方程的解公式,即使在根都是实数解的情况,他们的公式本身却导引出复数以及其立方根解。大约 1593 年,法国数学家韦达(François Viète)成为建立其间连接的“炼金师”,他说明一旦可以三等分角就可以解相对应的三次方程,反之亦然。不过一直等到 18 世纪,另一个法国数学家棣莫弗(Abraham de Moivre)才能以他的公式


真正解释这个结果,这也是不折不扣的炼金术。不过我将 18 世纪与 19 世纪初的大数学家——瑞士的欧拉与德国的高斯归类为“露天采矿者”,他们揭示了隐藏于复数代数背后的二维几何。棣莫弗公式的欧拉形式出现在阿蒂亚与泽基公式名单的 #1 与 #5。


另一位典型的炼金师是我的博士论文指导老师查利斯基(Oscar Zariski),他最深刻的工作,是揭示了由纯代数学家所发展的交换代数工具,拥有重要的几何意义,能够用来解决某些代数几何意大利学派所引出的混乱议题,尤其查利斯基主定理(Main Theorem)以及解消奇点的研究,更说明了整闭包(integral closure)和赋值环(valuation ring)概念与几何的关系。他经常说最好的研究不是证明新定理,而是创造可以一用再用的新技术。



黎曼—罗赫定理(Riemann-Roch theorem)是炼金师知名的宝贵资源。刚开始,这个定理连接了复分析与代数曲线的几何理论,接着借由纯代数扩张到特征数  的情况,然后又被希策布鲁赫(Fritz Hirzebruch)用当红的代数拓扑工具推广到高维。再后阿蒂亚和辛格(Isadore Singer)将它连接到一般椭圆偏微分方程组,一举将分析、拓扑、几何连接起来。阿蒂亚很谦虚地没将这个公式放到名单中,不过他倒是手书其中的特殊情况——希策布鲁赫示标公式(Hirzebruch signature formula),收在费德曼和洛克摩的 Concinnitas 计划中,以细点蚀刻(aquatint)制成版画呈现。在这一系列公式版画里,还囊括了戴森—麦克唐纳(Dyson-MacDonald)的  组合公式,这些是复分析的数值,是显然的炼金师杰作。最后,还有一个十分怪异的  公式,是阿蒂亚与泽基的 #14 公式。我怀疑作者收录这个公式,是因为他们猜测许多人会认为这是个丑公式。对于这个公式的来源我毫无概念,不过发现它的人隶属于“巴洛克炼金师”子部落。它和  更简明但无疑是炼金公式的 #30 正好形成对比。


角力士
与数的角力可以回溯到阿基米德,他喜欢估计  值,玩赏巨大的数。至大和至小对角力士充满了吸引力。微积分出自牛顿与莱布尼兹的研究,就莱布尼兹的微积分思路,我们必须区分无穷小(infinitesimal)与无穷小的平方,相较之下,后者比前者是更无穷的小。对无穷大和无穷小采取放任的心态,主导了 18 世纪数学家的思考,更导致荒腔走板的炼金研究,像是以下颇为奇怪的公式就来自欧拉:

大道至简 万物于弧
*滑动验证:
您需要登录后才可以回帖 登录 | 立即注册

本版积分规则

手机版|Archiver|小黑屋|国际弧学研究会    

GMT-7, 2025-10-18 08:40 , Processed in 0.519636 second(s), 25 queries .

Powered by Discuz! X3.1

© 2001-2013 Comsenz Inc.

快速回复 返回顶部 返回列表