设为首页收藏本站

弧论坛

 找回密码
 立即注册
搜索
热搜: 活动 交友 discuz
查看: 2659|回复: 0
打印 上一主题 下一主题

?=(?/?)³+(?/?)³

[复制链接]

5919

主题

6627

帖子

7187

积分

坛主

Rank: 10Rank: 10Rank: 10

积分
7187
跳转到指定楼层
楼主
发表于 2023-1-4 01:51 | 只看该作者 回帖奖励 |倒序浏览 |阅读模式
?=(?/?)³+(?/?)³[color=var(--weui-FG-2)]

[color=var(--weui-FG-2)]佐佑
原理 [color=var(--weui-FG-2)]2023-01-03 04:30
[color=var(--weui-FG-2)]Posted on 浙江
[color=var(--weui-FG-2)]


                               
登录/注册后可看大图



                               
登录/注册后可看大图

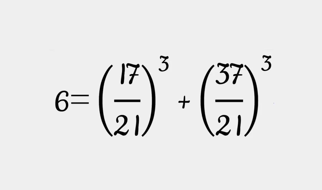
  一个古老的数论问题  

在数论中,有这样一个困扰数学家已久的古老问题:有多少个整数可以写成两个分数(有理数)的立方和?例如,我们可以把整数6写成两个分数的立方和:


                               
登录/注册后可看大图

几十年来,数学家怀疑有一半的整数可以这样表示。就像奇偶一样,这个性质也将整数分为了两个差不多的阵营,一个阵营里的整数可以写成两个分数的立方和,另一个不能。但是,数学家并不能证明这一点,甚至不能给出这两个阵营中的整数的比例范围。


                               
登录/注册后可看大图
100以内的整数中,被红框标记的数可以写成两个有理数的立方和,其余则不能。(图片素材/Merrill Sherman/Quanta Magazine)

数学家已经提出了一些可用于判断一个数字属于哪个阵营的方法,但每种方法都有其缺点,比如它们要么不能保证总能得出结论,要么不能保证得出的结论总是正确的。目前,还没有任何一种检验方法对所有数字都适用

不过,就在去年10月,来自哈佛大学的Levent Alpöge、普林斯顿大学的Manjul Bhargava,以及耶路撒冷希伯来大学的Ari Shnidman在论文预印网站arXiv上提交了一篇论文。在这篇论文中,三位数学家向这一问题发起了挑战,并证明至少2/21、至多5/6(即大约9.5~83%)的整数,可以写成两个立方分数的和


  与椭圆曲线有关的难题  

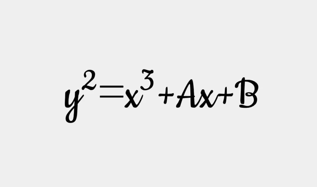
其实,这个与立方和有关的问题,满足的不仅仅是数学家们的好奇心,它在现实世界中也有非常广泛的应用。这个问题与数学领域中的一个有着悠久历史的课题——椭圆曲线有关。

椭圆曲线有着非常复杂的结构,是纯数和应用数学的许多分支的中心,被广泛地应用于密码学中。我们可以用一个三次方程来表述这些曲线。


                               
登录/注册后可看大图
用来描述椭圆曲线的三次方程,在方程中,A和B为固定的有理数。(图/原理)

被列为千禧年大奖难题之一的“贝赫和斯维讷通-戴尔猜想”,探讨的问题就涉及椭圆曲线。目前,数学家已经计算出,如果贝赫和斯维讷通-戴尔猜想是正确的,那么对10,000,000以内的整数来说,大约有59%是两个有理数的立方和

与立方和问题不同的是,数学家早就知道哪些整数可以表示为两个有理数的平方和。正如数学家吉拉德(Albert Girard)在1625年和费马(Pierre de Fermat)在1638年首次观察到的那样:若要判断哪些整数是两个有理数的平方和,可以将一个数字先分解成素数,然后再用这些素数除以4,并检查除以4之后余数为3的素数的指数,如果指数都是偶数,那么这个数字就可以写成两个分数的平方和;反之则不能

这一简单的测试最终由欧拉(Leonhard Euler)在1749年给出了证明。然而,符合这种规则的整数非常少,绝大多数数字都无法通过这种“偶数指数”测试。如果随机选择一个整数,它是两个有理数的平方和的概率基本上为0。而且,数学家还发现,一个整数是两个有理数的平方和,当且仅当它是两个整数的平方和


                               
登录/注册后可看大图
很少有整数是两个有理数的平方和,当它是时,当且仅当它是两个整数的平方和。(图/原理)

例如,490可以分解成2¹ × 5¹ × 7²。当除以4时,这些因子中唯一余数为3的是7,7的指数是偶数。因此,490可以写成两个整数的平方和,它等于7² + 21²。


  特立独行的立方和  

可以说,等于两个分数的平方和的整数几乎没有。数学家认为,两个有理数的四次方和、五次方和,或任何大于三的次方和,也都遵循这样的模式,只有立方和例外——有着丰富的数量

数学家们早已习惯了三次方程的与众不同和难以把控。正因如此,研究椭圆曲线的数论学家,常常会寻找那些能将椭圆曲线与更容易控制的数学对象联系起来的方法。

2022年4月,Alpöge和Shnidman在前人的工作基础上,发现对任何一个有有理解的立方和方程来说,都有一种方法可以构建至少一个特殊的2 × 2 × 2 × 2矩阵。于是,三位数学家开始制定一个计划,来计算这些矩阵。

为了做到这一点,他们采用了两个已被研究一个多世纪的经典主题:一种是“数的几何”,它涉及如何计算不同几何形状内的阵点;另一种被称为“圆法”,这种方法源自于印度传奇数学家拉马努金(Srinivasa Ramanujan)和哈迪(G.H. Hardy)在20世纪初的工作。

利用这两种方法,他们三人证明了至少有1/6的整数不存在2 × 2 × 2 × 2矩阵。换句话说,对这1/6的整数来说,其立方和方程是没有有理解的;而不超过5/6(约83%)的整数,可以写成两个分数的立方和

另外值得一提的事,三位数学家还发现在所有整数中,至少有5/12的整数有一个完全相符的矩阵。但这并不简单地意味着这些整数都能写成两个有理数的立方和。因为虽然每个是两个有理数的立方和的整数都有一个矩阵,但这并不意味着其逆命题是正确的。


  稳步发展的技术  

为此,Alpöge, Bhargava和Shnidman转而向研究椭圆曲线的“逆定理”的两位专家——德克萨斯大学奥斯汀分校的Ashay Burungale和普林斯顿大学的Christopher Skinner求助。Burungale和Skinner证明,至少在某些时候,如果一个整数有一个相伴矩阵,那么这个数一定是两个有理数的立方和。

这非常不可思议,这在一定程度上证明了部分贝赫和斯维讷通-戴尔猜想。目前,研究人员非常高兴他们终于解决了相当一部分整数的问题。他们相信他们的技术还在稳步发展,并渴望进一步探索证明中所使用的技术。

#创作团队:
编译:佐佑
排版:雯雯
#参考来源:
https://www.quantamagazine.org/mathematical-trio-advances-centuries-old-number-theory-problem-20221129/
https://arxiv.org/pdf/2210.10730.pdf
#图片来源:
封面图&首图:Dsndrn-Videolar / Pixabay


大道至简 万物于弧
*滑动验证:
您需要登录后才可以回帖 登录 | 立即注册

本版积分规则

手机版|Archiver|小黑屋|国际弧学研究会    

GMT-7, 2025-12-13 12:15 , Processed in 0.608932 second(s), 22 queries .

Powered by Discuz! X3.1

© 2001-2013 Comsenz Inc.

快速回复 返回顶部 返回列表