设为首页收藏本站

弧论坛

 找回密码
 立即注册
搜索
热搜: 活动 交友 discuz
查看: 3175|回复: 0
打印 上一主题 下一主题

四年一次,数学最高奖公布!

[复制链接]

5919

主题

6627

帖子

7187

积分

坛主

Rank: 10Rank: 10Rank: 10

积分
7187
跳转到指定楼层
楼主
发表于 2022-7-5 23:23 | 只看该作者 回帖奖励 |倒序浏览 |阅读模式
四年一次,数学最高奖公布!

中科院物理所 [color=rgba(0, 0, 0, 0.3)]2022-07-05 22:41 [color=rgba(0, 0, 0, 0.3)]Posted on 北京
The following article is from 原理 Author 原原




                               
登录/注册后可看大图



                               
登录/注册后可看大图

菲尔兹奖是数学领域的最高奖之一,常被称作为数学界的诺贝尔奖,每四年颁发一次。刚刚,2022年度的菲尔兹奖公布,授予4位对数学领域做出杰出贡献的年轻数学家(年龄在40岁以下)。

                               
登录/注册后可看大图
(图/IHES)

雨果·迪米尼-科潘改变了统计物理学中与相变有关的数学理论,他解决了几个长期存在的开放性问题,尤其是在三维和四维以及在二维的不可积的情况下。他的工作开辟了几个新的研究方向。在这里我们只列举他在这一领域的众多成果中的一小部分。
迪米尼-科潘的最显著的成果是三维和四维的伊辛型模型。他与合作者一起建立了三维相变的连续性和锐度,这些都是自80年代起就一直悬而未决的问题。在四维空间,他与艾森曼(Aizenman)一同证明了伊辛模型的平均场临界行为,并证明了四维欧几里得标量量子场论的平凡性,这是一个自70年代以来就困扰物理学家的开放性猜想。
同样,在二维相关的福图因-卡斯特林渗流中,迪米尼-科潘与合作者一起证明了所有参数值变化的连续性或不连续性,以及在等角点辐射线图上的临界福图因-卡斯特林模型的普适性。此外,通过证明临界福图因-卡斯特林模型的大尺度旋转不变性,他朝着建立它们的大尺度共形不变性迈出了重要一步,这反过来又能为将它们严格与二维共形场论的世界相连提供重要的缺失部分。


                               
登录/注册后可看大图
(图/Princeton University)

利用霍奇理论、热带几何和奇点理论的方法,许埈珥和他的合作者改变了几何组合学领域。许埈珥和王博潼利用代数几何和相交理论的工具,证明了可实现拟阵的道林-威尔逊猜想。
卡里姆·阿迪普拉斯托(Karim Adiprasito)、许埈珥和埃里克·卡茨(Eric Katz)发现了霍奇理论的组合学类似,并证明了莱夫谢茨定理和任意拟阵的霍奇-黎曼关系。他们利用这些结果解决了关于拟阵的特征多项式的对数凹性的赫伦-罗塔-韦尔什猜想。
彼得·布兰登(Petter Brändén)和许埈珥发展了洛伦兹多项式的理论,通过热带几何连接了连续的和离散的凸分析。他们证明了拟阵的强梅森猜想,并发现了从射影代数几何到统计力学中的波茨模型等一系列不同数学领域中的应用。



                               
登录/注册后可看大图
(图/Academia Europaea)

詹姆斯·梅纳德在解析数论方面做出了惊人的贡献。他常常在那些看似无法用现有技术做到的重要问题上,带来惊人的突破。
数论中的一些最著名问题与素数的分布有关。虽说素数的大尺度分布是由素数定理支配的(或更准确地说,是由黎曼猜想推测的),但许多自然问题是在稀疏尺度上处理的。在这类问题上,梅纳德取得了许多显著的成果。例如,他证明了当素数序列变得越来越稀疏时,就会存在无限个大小为任意固定值m的“素数簇”,每个“素数簇”都包含在一个(与m有关的)有界区间内,这是对著名的当m=2时的结果的显著改进。梅纳德的方法既优雅又有力,它以一种令人惊讶的方式推动了筛法理论的边界。梅纳德在一个看似相反的方向上继续证明,有时素数比平均稀疏得多,这是在几十年里都没有任何质的进展的埃尔德什问题。
梅纳德在丢番图逼近方面也做了基础性的工作,他与库库洛普洛斯(Koukoulopoulos)解决了杜芬-谢弗猜想。这个猜想于1941年提出,被认为是对描述了一个典型的实数如何被有理数逼近的辛钦定理的终极推广。



                               
登录/注册后可看大图
(图/EPFL)

数学中一个长期存在的问题是找到能够在给定维度中,填装相同球体的最稠密的方式。人们已经知道,圆的六边形填装是二维空间中最稠密的。1998年,黑尔斯(Thomas Callister Hales)用计算机辅助证明了开普勒猜想,即面心立方格的填装是三维空间中最稠密的。

其他任何维度上的最稠密填装一直处于未知状态,直到2016年,维亚佐夫斯卡证明了E₈格在8维空间中具有最稠密的填装。不久后,她与科恩(Cohn)库马尔(Kumar)米勒(Miller)拉德琴科(Radchenko)一起,证明了利奇格在24维空间中具有最稠密填装。
维亚佐夫斯卡的方法是建立在科恩和埃尔基斯(Elkies)的工作基础之上的,他们利用泊松求和公式给出了任意维度上球体填装的可能密度的上界。他们的工作表明,在8维和24维空间中,可能存在一个具有非常特殊的性质的径向施瓦兹函数,它能给出一个与已知格填装的下界相等的上界。维亚佐夫斯卡基于模形式理论发明了一种全新的产生这样的函数的方法。
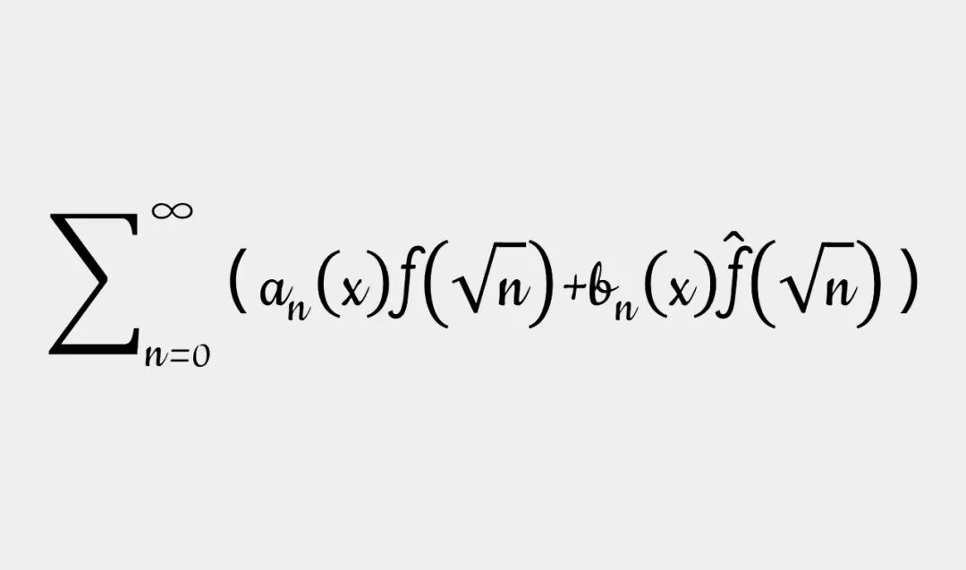
维亚佐夫斯卡在其他方向发展了这些想法。她和拉德琴科一起证明了一个意想不到的结果,即任何其自身及其傅里叶变换会在每个非负整数的平方根处消失的偶施瓦兹函数,一定等于零。事实上,他们证明了对某些特殊函数an和bn来说,任意偶施瓦兹函数都可以被写成:


                               
登录/注册后可看大图
与科恩、库马尔、米勒和拉德琴科一起,她证明了E₈和利奇格不仅在8维和24维给出最优的球体填装,并且还最小化了每个在平方距离上完全单调的势函数的能量。

#创作团队:
撰文:原原
设计:雯雯
#参考来源:
https://www.mathunion.org/imu-awards/fields-medal
#图片来源:
封面图/首图:新原理研究所


大道至简 万物于弧
*滑动验证:
您需要登录后才可以回帖 登录 | 立即注册

本版积分规则

手机版|Archiver|小黑屋|国际弧学研究会    

GMT-7, 2025-12-16 07:00 , Processed in 0.672140 second(s), 22 queries .

Powered by Discuz! X3.1

© 2001-2013 Comsenz Inc.

快速回复 返回顶部 返回列表