设为首页收藏本站

弧论坛

 找回密码
 立即注册
搜索
热搜: 活动 交友 discuz
查看: 3884|回复: 0
打印 上一主题 下一主题

100年前,人们眼中的宇宙还很小

[复制链接]

5919

主题

6627

帖子

7187

积分

坛主

Rank: 10Rank: 10Rank: 10

积分
7187
跳转到指定楼层
楼主
发表于 2020-1-12 08:30 | 只看该作者 回帖奖励 |倒序浏览 |阅读模式
100年前,人们眼中的宇宙还很小[color=rgba(0, 0, 0, 0.298)]

[color=rgba(0, 0, 0, 0.298)]Original [color=rgba(0, 0, 0, 0.298)]原原
原理
[color=rgba(0, 0, 0, 0.298)]Today
[color=rgba(0, 0, 0, 0.298)]

[color=rgba(0, 0, 0, 0.298)]

我们可以想象得出100年后人类的生活吗?那时的人类科学和科技进步到了何种程度?我们是否已经成了星际居民遨游宇宙?而当2120年来临时,那时的人们回望现在的我们,就好像我们回看1920年的历史一样。

1920年不能算是寻常的一年。当时,第一次世界大战刚刚以《凡尔赛条约》的签署为标志而结束,各国正在从战争中逐渐恢复。1920年的科学界也并不平静,这一年科学界发表了许多深刻改变人类的发现,科学界送走了一些科学家,也迎来了一些新生命,日后成长为科学研究中的关键人物。

现在,让我们把时间拨回到100年前......


                               
登录/注册后可看大图


1920年,新年刚过不久,科学界传来一个噩耗,丹麦著名数学家邹腾去世。在这一年中,一些大师永远地离开了我们,但他们的思想即使到今天仍在流传。

丹麦数学家邹腾
1920年1月6日,丹麦数学家邹腾去世

                               
登录/注册后可看大图


                               
登录/注册后可看大图


                               
登录/注册后可看大图


虽然邹腾(H. G. Zeuthen)这个名字对大多数人而言还很陌生,但他在丹麦乃至世界数学史上具有重要影响,他在圆锥曲线的枚举几何学、代数曲面理论以及数学史等领域都做出了杰出的贡献。邹腾从小在数学方便表现出了天赋,仿佛“不需要花时间去学”。进入大学后,他有机会前往巴黎师从法国几何学泰斗沙勒,并开始自己的枚举几何学研究。后来,他又出版了数学史著作《古代圆锥曲线的历史》,同时代的著名数学家评价这本书“开启了一个新的时代”。多年来,他在哥本哈根大学教学的同时编写数学课本和讲义,并在大学开设数学史等课程。他的整个职业生涯几乎都在哥本哈根度过,他为丹麦登上世界数学的舞台做出了巨大贡献。

印度数学家拉马努金
1920年4月26日,拉马努金去世,享年32岁

                               
登录/注册后可看大图



                               
登录/注册后可看大图


                               
登录/注册后可看大图


拉马努金(Srinivasa Ramanujan)是一位天才的传奇数学家,他是英国皇家学会最年轻的会员之一,也是剑桥大学三一学院的第一位来自印度的院士。他出生在印度一个没落的婆罗门家庭,几乎没有受过正规的高等数学教育和训练,却凭借出众的数学直觉和不懈的耐心钻研,在数学分析、数论、无穷级数和连分数等领域作出了重大贡献。1913年,他开始与剑桥大学著名数学家哈代通信,哈代随后邀请他到英国,开始了两人富有成果的合作。拉马努金一生提出了上千个公式和命题,并为后人的研究指明了方向。1973年数学家德利涅证明了最著名的“拉马努金猜想”,并因此获得菲尔兹奖。


                               
登录/注册后可看大图


然而,科学不会停下向前的脚步。在这一年里,人们通过实验、观测等当时一切可用的科技手段,在各个领域收获了许多令人欣喜的发现,其中有一些深刻地改变了我们的生活。

提取胰岛素
班廷提出一种提纯胰岛素的方法

                               
登录/注册后可看大图



                               
登录/注册后可看大图


                               
登录/注册后可看大图


胰岛素的发现是现代医学史的一个里程碑。20世纪初,一些医生发现胰腺中的提取物具有降糖作用。但由于无法制备高纯度的制剂,相关研究一度陷入困境。1920年,年轻的外科医生班廷(Frederick Banting)向糖尿病领域的权威教授麦克莱德(John Macleod)提出了一种提纯胰岛素的方法。班廷建议通过结扎狗胰管,再对其进行分离和提取。胰岛素的提纯工作就是从那时开始的。到1921年,班廷提取胰岛素的来源从狗的胰腺转向牛的胚胎,使得实验发生了飞跃性的进展。1923年,班廷和麦克莱德二人因在胰岛素方面作出的贡献而获得诺贝尔生理学及医学奖。

测量猎户座α
猎户座α的光球角直径首次被测量

                               
登录/注册后可看大图



                               
登录/注册后可看大图


                               
登录/注册后可看大图


1920年,威尔逊天文台的迈克尔孙测星干涉仪首次测量出了猎户座α的光球角直径,猎户座α成为除太阳之外第一颗被测出光球的角直径的恒星。猎户座α又名参宿四,距离地球超过600光年,它是一颗红超巨星,也是已知的裸眼可见的最大和最亮的恒星之一。后续的研究报道它的角直径约在0.042到0.056角秒之间。红超巨星是恒星演化过程中“临近终章”的阶段,处于这个阶段的恒星会出现忽明忽暗的现象。2019年年底,猎户座α亮度突然变暗,但尚不确定这种亮度变化是否与超新星爆发有关。科学家正在密切关注这颗恒星亮度的后续变化。

小艾伯特实验
心理学家约翰·沃森和助手
进行了著名而极具争议的“小艾伯特实验”

                               
登录/注册后可看大图



                               
登录/注册后可看大图


                               
登录/注册后可看大图


1920年,心理学家约翰·沃森和助手进行了著名而极具争议的“小艾伯特实验”。在实验中,11个月大的小艾伯特起初对在身边活动的白鼠并未表现出恐惧。随后,当艾伯特触摸白鼠时,实验人员就在他身后制造出巨大而刺耳的声音,艾伯特随即大哭并表现出恐惧。重复数次后,即使没有噪声,小艾伯特在面对白鼠,甚至其他毛茸茸的物品时,也表现出了恐惧和不安。由于录像显示小艾伯特有痴呆的迹象,实验结果的可靠性被质疑。而在实验完成后,沃森并未除去婴儿的条件反射,这也违反了学术道德。曾有后续研究试图调查实验对婴儿后来的影响,他们发现小艾伯特在6岁时因病夭折,实验的后续影响也无从而知。

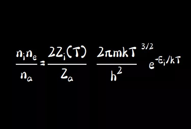
萨哈电离方程
天体物理学家萨哈提出了萨哈电离方程

                               
登录/注册后可看大图



                               
登录/注册后可看大图


                               
登录/注册后可看大图


萨哈电离方程描述的是恒星光谱与温度之间的关系。这个方程最早由印度天体物理学家萨哈(Meghnad Saha)提出,它表示了在一颗恒星中,任何一种特定元素的电离状态会如何随着温度和压力的变化而变化。这个方程的一个重要应用是解释了恒星的光谱分类。萨哈也因此分别在1930、1937、1939、1940、1951、1955年被提名为诺奖物理学奖候选人,然而他的提名却一再被诺奖委员会拒绝,给出的原因是萨哈电离方程是一个有用的“应用”而非“发现”。但在天体物理学领域,学者认为萨哈方程打开了恒星天体物理学之门,是天文研究来说是诺奖级别的贡献。


                               
登录/注册后可看大图


当然,我们还有很多没有搞清楚的事情。当时的人们甚至还不清楚,银河系是不是宇宙的全部,并为此进行了一场世纪辩论。科学家提出了很多假说和“预言”,但尚没有能力验证它们,有些假说甚至在半个多世纪后才通过更先进的技术手段被证实。科学就是在以这样的方式不断前进。

世纪大辩论
20世纪最伟大的一场科学辩论
发生在1920年4月26日

                               
登录/注册后可看大图



                               
登录/注册后可看大图


                               
登录/注册后可看大图


20世纪最伟大的一场科学辩论发生在1920年4月26日,当时,天文学家沙普利和柯蒂斯在华盛顿的史密森尼国家自然历史博物馆中为宇宙究竟有多大展开了辩论。沙普利主张银河系就是整个宇宙,认为像仙女座星云等螺旋星云都是一些小的天体,是银河系的一部分;而柯蒂斯认为,通过望远镜观测到的那些螺旋状星云实际上是可以与银河系相媲美的星系或岛宇宙,他争辩道仙女座星云中的新星比银河系中还要多。这场辩论的真正获胜者直到1924年才得以揭晓:哈勃计算出仙女座星系中的一颗造父变星的距离,得出它不在银河系内,最终证明柯蒂斯是对的。

中子的存在
卢瑟福首次预言了原子核中
应当还存在着一种中性核子——中子

                               
登录/注册后可看大图



                               
登录/注册后可看大图


                               
登录/注册后可看大图


1920年,卢瑟福首次预言了中子的存在,但直到1932年查德威克才在实验中找到了它。1934年兹威基和巴德提出当一颗大质量恒星耗尽燃料时,它的核心会在引力作用下坍缩,以至于大部分电子和质子会挤压在一起形成中子,最终形成了一个极端致密的中子星。无论是中子还是中子星都包含了许多秘密,其中一个与中子有关的大谜题是:它的寿命究竟有多长?近年来,有两种同样精确的测量中子的方法却给出了相差9秒的结果!这让一些物理学家非常忧虑,他们仍在试图用最新的研究来理解和解释这一差异。


米兰科维奇循环
地球物理学家米兰科维奇
在专著中提出了“米兰科维奇循环”

                               
登录/注册后可看大图



                               
登录/注册后可看大图


                               
登录/注册后可看大图


1920年,塞尔维亚地球物理学家米兰科维奇(Milutin Milanković)出版了专著《太阳辐射造成的热现象的数学理论》,详细阐述了有关地球公转与自转的各种参数及地球气候模式之间的关系,也就是后来著名的“米兰科维奇循环”。米兰科维奇发现有三个循环周期主要影响地球与太阳之间的关系,分别是偏心率、转轴倾角和岁差。在很长一段时间里,这个理论缺乏足够的证据支持,直到约半个世纪后,科学家开始有能力在海底等处进行取样分析,才找到了更多支持证据。全球气候的自然变化还有其他许多影响因素,而自工业革命后不可忽视的人为因素同样是目前学界的共识。


                               
登录/注册后可看大图


同样在这一年,世界也迎来了许多新的生命。他们当中有许多日后成长为科学家,用他们有限的生命在科学的海洋中不断探索,一步步推动科学与人类文明向前迈进。

罗莎琳德·富兰克林
1920年7月25日,罗莎琳德·富兰克林出生于英国

                               
登录/注册后可看大图



                               
登录/注册后可看大图


                               
登录/注册后可看大图


罗莎琳德·富兰克林(Rosalind Franklin)作为一位著名的物理化学家为诸多领域做出了突出贡献,包括对煤和病毒的研究。更重要的是,她所拍摄的DNA的X光衍射图“照片51”是揭开DNA结构之谜的关键。但遗憾的是,这项工作在她生前并没有获得应有的认可。1962年,诺贝尔生理学和医学奖被授予沃森、克里克和威尔金斯,以表彰他们在DNA双螺旋结构研究中所做的贡献,此时富兰克林已经去世。在富兰克林生活的年代,女性进入科学界仍然不是一件容易的事情。当1941年富兰克林从剑桥大学本科毕业时,剑桥大学甚至尚未开始授予女性学位。但她一生仍在科学上做出了不可磨灭的贡献。

汤定元院士
1920年5月12日,汤定元出生于江苏金坛县

                               
登录/注册后可看大图



                               
登录/注册后可看大图


                               
登录/注册后可看大图


汤定元是中国科学院院士,我国红外物理的奠基者,他开拓了我国半导体学科和半导体光电器件的研究。汤定元22岁时从国立中央大学物理系毕业后留校任教,后赴美留学。学成归国后开始在中科院应用物理所等机构工作。20世纪50年代,他带领的研究小组首次进行了锗光电导光谱分布的定量研究。随后他又领导进行了一系列红外研究,建立起我国红外研究的学科体系,并成功研制多种先进的红外光电探测器,应用于遥感探测中,为“两弹一星”等项目做出了重要贡献。2019年6月,汤定元因病在上海与世长辞。



大道至简 万物于弧
*滑动验证:
您需要登录后才可以回帖 登录 | 立即注册

本版积分规则

手机版|Archiver|小黑屋|国际弧学研究会    

GMT-7, 2025-12-18 15:08 , Processed in 0.722159 second(s), 23 queries .

Powered by Discuz! X3.1

© 2001-2013 Comsenz Inc.

快速回复 返回顶部 返回列表