设为首页收藏本站

弧论坛

 找回密码
 立即注册
搜索
热搜: 活动 交友 discuz
查看: 6201|回复: 0
打印 上一主题 下一主题

π与最美的数学公式

[复制链接]

5919

主题

6627

帖子

7187

积分

坛主

Rank: 10Rank: 10Rank: 10

积分
7187
跳转到指定楼层
楼主
发表于 2016-3-20 01:47 | 只看该作者 回帖奖励 |倒序浏览 |阅读模式
π与最美的数学公式

原创 2016-03-20
Jonathan Borwein
中科院物理所

Pi Day(3.14)刚刚过去,我们也奉上一篇和Pi有关的译作《π与最美的数学公式》,展示科学最单纯的美。据说文章每多一个方程,读者就会减少一半,不过小编很自信,因为下面列举的都是最美的。
--小编Z
今天我想谈谈π和数学意义上的的美。
要谈论这个,还有比十八世纪著名的欧拉公式更好的例子吗?

                                             


                               
登录/注册后可看大图

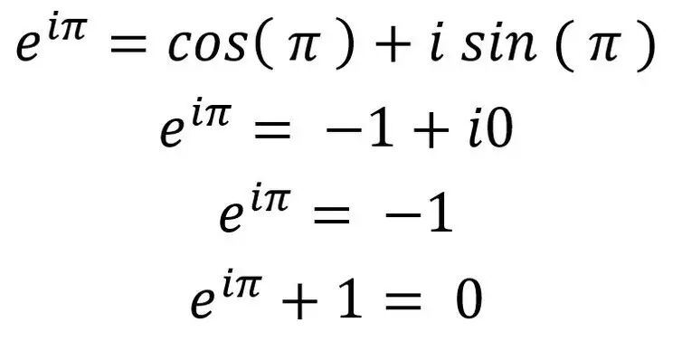
注意e指的是自然对数的底数。i是虚数单位,也就是-1的平方根。

这个公式经常被叫做“最美数学公式”,不过其实欧拉并没有真正的确切的把它写出来过。一个容易误解人的数学命名约定。相反,它是欧拉在证明指数增长和圆周运动的等价性时用到的公式的一种特殊情况。这个公式是这样的


                               
登录/注册后可看大图

这个公式通常被称为cis函数,结合了余弦(cos)和正弦(sin)。theta是希腊字母。

美国理论物理学家理查德·费曼称其为“最引人注目的数学公式”。
欧拉社会的创始人——Ed Sandifer 曾在2007年的一篇好玩的文章中详细讨论了欧拉超过四十多年的方法,尝试去说明这个公式到底在干什么。在这里我将尽量用最少的公式来讲清楚这个故事。


这个公式干了什么?
欧拉公式包括了五个基本的数学常数0,1,i,e和π,以及它们之间的等号,加号和指数,以一种神秘而又有用的方式,组成了一个七字符的公式。它的等价形式也可以写成:


                               
登录/注册后可看大图

重写过的欧拉公式

这个形式甚至更加简洁并且介绍了负数。
数学的一个共同特征是:发现总是首先被使用,然后才是被理解。18世纪法国数学家达朗贝尔写过代数是慷慨的,她经常给我们的答案超过了我们所问。
让我介绍一下构造欧拉公式的这些砖块的2000多年的历史。你不必去理解确切的数学,只要了解一下这些不同元素的不同起源,以及它们是怎么如此紧密地结合起来的。

等于 (=)
"="符号归因于1557年威尔士科学家罗伯特·雷科德。数学上关于相等的意思的讨论反映了同时又推动了哲学上关于确切描述的概念的讨论。
英国著名的逻辑学家伯特兰·罗素的例子是金星,称为晨星和昏星。一个反复提及的数学例子是0.99999999…和1是否相等。他们是,他们也不是。

零(0)
“0”的标记符号比 "= "更早。但是希腊人也好还是别的民族也好,都没有发现怎么去演算 0 的法则。一个数学上成熟的“0”的概念归功于大约公元650年的伟大的印度思想家Brahmagupta.
当“0”和另一个印度发明:进位计数法结合起来之后,计算数字便变得简单多了。这种能力直到15世纪或者更晚才传到欧洲。

1
没有“1”就没有先进的算法。“0”和“1”一起,我们有了二进制记数法和现代数字计算机。美国理论物理学家约翰·泰勒把这叫做“来自一点“(“来自比特“,英语双关,it from bit——译者)
这进一步导致了现代群论,代数,机密技术以及许多许多的其它知识。

i
虚数的使用大约开始于16到17世纪。法国哲学家和数学家笛卡尔就已经早早使用过它了,不过是以轻视的态度。
我们现在认为理所当然的数学概念有时候要花费几个世纪才能被接受和理解。难怪学生反抗虚数。这先是经过欧拉后来又经过德国数学家高斯的努力,虚数才真正的被开发起来了。“虚”这个词终于有了一个积极的数学内涵。
定义 i 作为-1 的平方根有一个非常美妙的结果。那就是一个n次多项式一定有n个(复)根了。比如说x^4=(x+1)(x-1)(x-i)(x+i), 它有四个根。这个导致了现在所谓复分析的发展。
如果没有复数,大多数现代数学和数学物理(比如量子力学)都不能工作了。

Pi(π)
π是半径为1的圆的面积和圆的周长。伟大的希腊数学家阿基米德(公元前287 - 前212)使用这个结论得到π近似值为22/7(3.141592…)。
欧拉提出了π的现代定义:即定义泰勒级数里面的余弦函数的最小的正系数为π/2.这有点复杂,但如果你只是想象这个级数是一个非常大的多项式,你会懂的。


                               
登录/注册后可看大图

cis函数是两个泰勒级数

这里 n!= 1 x 2 x···x n  叫做n的阶乘。这个十七世纪的另一个数学发现。

e
常数“e”起源于十七世纪,它被定义为自然对数的底数。到小数点后三位是2.718...,有点像π,这是一个无限不循环小数。
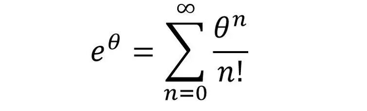
欧拉这位大师不光命名了“π”和“e”,他还意识到e^x也有一个花哨的泰勒级数。


                               
登录/注册后可看大图

展开的泰勒级数

然后令theta等于1,给出了一个关于e的有效公式。
现在我们知道了所有我们需要知道的砖块。我们需要对第二个公式做的是令theta等于π,利用简单的三角函数,我们知道sin(π)=0和cos(π)=-1,于是一步一步的约掉这个公式,我们便得到了美丽的第一个公式了。

                               
登录/注册后可看大图


什么是数学美?
      正如你看到的,要看到这个公式的美我们必须理解这个公式的元素,至少是大概的理解。
罗素在他的《西方哲学史》上这样说:
“恰当的说,数学不仅涵括真理,亦表现最高等的美——这种美冷静而简朴,宛若雕塑,不诉诸我们任何柔弱的本性,没有绘画中亦或音乐中的华丽绚烂,但是纯粹得庄严,只有最伟大的艺术才能展示其严格的完美。”
大多数数学家都同意,一个美丽的公式一定是意料不到的,简洁的和有用的,有一种专业数学家能够感知到的高超的巧妙。
如果不得不列出来的话,大多数数学家会列出阿基米德,高斯,欧拉作为自古以来最杰出的五位数学思想家。另外两个是艾萨克·牛顿(微积分和力学)和波恩哈德·黎曼(黎曼几何和黎曼假设)。
同时拥有三位杰出的思想家和基本常数。难怪欧拉公式被人们崇拜地叫做最美丽的数学公式。


作者:Jonathan Borwein, 纽卡斯尔大学荣誉数学教授,本文最初发表于《The Conversation》
翻译:小编C
审校:小编Z



大道至简 万物于弧
*滑动验证:
您需要登录后才可以回帖 登录 | 立即注册

本版积分规则

手机版|Archiver|小黑屋|国际弧学研究会    

GMT-7, 2025-12-15 20:55 , Processed in 0.563113 second(s), 24 queries .

Powered by Discuz! X3.1

© 2001-2013 Comsenz Inc.

快速回复 返回顶部 返回列表