设为首页收藏本站

弧论坛

 找回密码
 立即注册
搜索
热搜: 活动 交友 discuz
查看: 4722|回复: 0
打印 上一主题 下一主题

震惊!计算器里竟然藏着这样一个秘密!

[复制链接]

5919

主题

6627

帖子

7187

积分

坛主

Rank: 10Rank: 10Rank: 10

积分
7187
跳转到指定楼层
楼主
发表于 2018-6-13 01:39 | 只看该作者 回帖奖励 |倒序浏览 |阅读模式
震惊!计算器里竟然藏着这样一个秘密!

酱紫君
超级数学建模
Yesterday

真男人从不回头看数值验证
只有娘们才喜欢用特殊函数


                               
登录/注册后可看大图
玩计算器的发现
大家都玩过计算器吧,不知注意到没有。
输入任意数,然后不断按 cos ANS 最后总会输出0.739085。
什么,你说明明记得是:0.999847哦,因为你用了角度制。
这一系列操作等价于求解方程x=cosx,角度制下就是

                               
登录/注册后可看大图
当然对于现在的你来说求数值解没啥意思了,要求就求解析解是吧。
不过这两个方程其实是一样的,我们先变个形:

                               
登录/注册后可看大图
也就是说:
于是我们现在只要解决Ax-B=sin(x)这一个方程了。
最早研究这个问题的是天文学家,毕竟那时候也没什么计算器给你玩,一切要从实际出发...

                               
登录/注册后可看大图
开普勒方程
你可能听说过,三体问题很困难,直到一百多年前的庞加莱时代才被搞定。
而二体问题则简单的多,400年前开普勒时代就研究的差不多了。
你至少知道这个成果,两个天体以一个为焦点,另一个必定在圆锥曲线上运动。


                               
登录/注册后可看大图


一般天体遵循椭圆轨道,如图椭圆是实际运行的轨道,与椭圆相切的是一个以半长轴为半径的辅助圆。
在一定的时间t内,椭圆轨道上的质点运行到了p点,而辅助圆上的假想质点运行到了y点。
  • 椭圆轨道上所转过的角度∠T被称为真近点角(True Anomaly)
  • 辅助圆轨道上假想质点所转过的角度∠M被称为平近点角(Mean Anomaly)
  • 将椭圆上的质点向上作延长线,交辅助圆于x点所形成的角∠E被称为偏近点角(Eccentric Anomaly)


天文学家发现,它们满足如下关系式:
Kepler Equation:

                               
登录/注册后可看大图
抛物线就是

                               
登录/注册后可看大图
的特殊情况,双曲线有所不同。
Hyperbolic Kepler Equation:

                               
登录/注册后可看大图
但从数学上讲,这个式子其实就是:

                               
登录/注册后可看大图
也就是说不考虑物理意义其实是一样的。

                               
登录/注册后可看大图
开普勒方程的解析解
有了方程当然接下来就是求解了咯,古代计算力比较值钱,毕竟没有计算机,所以大家对解析解都有一种病态的追求。
怎么着推一天公式要比算一整天的牛顿迭代有趣吧?

                               
登录/注册后可看大图
作一下等价性检验:
In [] = FindRoot[x==Cos@x,{x,0}]        x-Pi/2/.FindRoot[Pi/2==x-Sin@x,{x,1}]        FindRoot[x==Cos[Pi x/180],{x,0}]        180x/Pi-90/.FindRoot[Pi/2==x-Pi Sin@x/180,{x,1}]Out[] = 0.7390851332151605`         {x -> 0.7390851332151607`}         0.9998477415310987`         {x -> 0.9998477415310881`}

                               
登录/注册后可看大图
拉格朗日反演
E不能分离但M,展开M(E),然后直接用级数反演即可。

                               
登录/注册后可看大图
Mathematica 可以很方便的执行级数反演。
Series[M-  Sin[M], {M, 0, 10}]//InverseSeriesSeries[M-e Sin[M], {M, 0, 10}]//InverseSeries
早期解这个方程使用了关于离心率

                               
登录/注册后可看大图
的麦克劳林展开。

                               
登录/注册后可看大图
这不是个整函数,所以引入了所谓的拉普拉斯极限。

                               
登录/注册后可看大图
超出收敛域的部分级数失效,级数反演则很好的解决了这个问题。

                               
登录/注册后可看大图
贝塞尔函数解
当然无穷级数不利于计算,能否使用微积分表达是我们接下来的探索重点。
我们来考虑函数方程:

                               
登录/注册后可看大图
我们假设它可以展开为傅里叶级数,分析原函数方程性态可以期望这是个正弦级数。

                               
登录/注册后可看大图
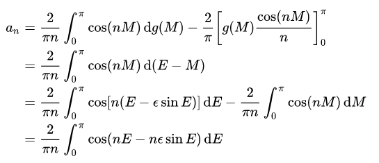
那么系数可以表达为:

                               
登录/注册后可看大图
我们来尝试计算,嗯?没思路怎么办...
无脑分部积分展开到能搞定为止呗。

                               
登录/注册后可看大图
而这正好是贝塞尔函数的定义式之一:
Bessel Function of the First Kind:

                               
登录/注册后可看大图
于是原式可以写成

                               
登录/注册后可看大图

                               
登录/注册后可看大图
赫维茨-勒奇超越函数解
Stack Exchange上有个用反三角函数和三角函数表示的解析解,这个解比较有难度。

                               
登录/注册后可看大图

特殊函数论中将以下级数称为赫维茨-勒奇超越函数(Lerch Transcendent Function)

                               
登录/注册后可看大图
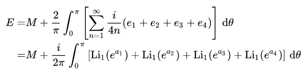
我们从上面的贝塞尔函数解开始,还原掉贝塞尔函数:

                               
登录/注册后可看大图
然后交换积分求和顺序。

                               
登录/注册后可看大图
里面的部分圈起来叫F(M),用欧拉公式展开。

                               
登录/注册后可看大图
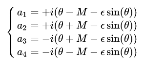
其中:

                               
登录/注册后可看大图
可以发现其实都是

                               
登录/注册后可看大图
的结构。
我们引入多对数函数:

                               
登录/注册后可看大图
也就是说:

                               
登录/注册后可看大图
用这个函数化简等式:

                               
登录/注册后可看大图
同样的整理一下:

                               
登录/注册后可看大图
可以合并成两组,然后再次展开,运算量有点大。
化简的时候注意恒等式:

                               
登录/注册后可看大图

                               
登录/注册后可看大图
注意到第二部分:

                               
登录/注册后可看大图
最后代回去大功告成!

                               
登录/注册后可看大图
代入数据就得到了 Stack Exchange 一样的结果。


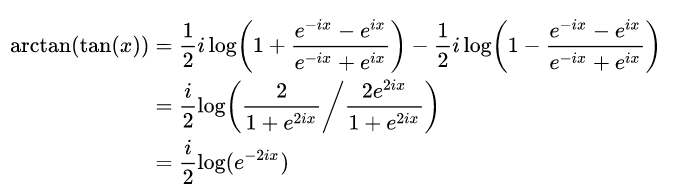
我对arctan(tan(x))这种写法感到很不爽。
这个当然不能直接抵消,由于arctan(tan(x))≠x,我们作复展开。

                               
登录/注册后可看大图
严格来说这两者不是完全相等的,因为这样一来消掉了奇点。
不过积分的时候完全可以划等号,因为区间开闭完全不影响积分值。

                               
登录/注册后可看大图
综上所述,最后代入值,我们得到了:

                               
登录/注册后可看大图

(*真男人从不回头看数值验证*)(2 + I Integrate[Log[-I/E^(I*(t - Sin[t]))], {t, 0, Pi}])/(2*Pi)//N(Pi + 90I Integrate[Log[(-I)*E^((-I)*t + (1/180)*I*Pi*Sin[t])], {t, 0, Pi}])/Pi^2//N> 0.7390851332151609` > 0.9998477415310951`

                               
登录/注册后可看大图
只有娘们才喜欢用特殊函数
最后一个是百度贴吧上的,这个答案就非常魔幻了,它和上面两个方法不是一个系列的,和第一个方法有关。
暴力求解拉格朗日反演的解析形式,场面非常的少儿不宜...
我一时半会儿也没看懂,详情看参考书目(3)。

                               
登录/注册后可看大图
从这个结果上也能看出这个方法有多残暴...
(*怎么可以这么暴力的说*)\[Pi]/2 Exp[NIntegrate[1/(\[Pi] x) ArcTan[((\[Pi] x+2)Log[(Sqrt[1-x^2]+1)/x]x)/(x^2Log[(Sqrt[1-x^2]+1)/x]^2-\[Pi] x-1)],{x,0,1},WorkingPrecision->50]]ArcCot[1+1/(2\[Pi] ) NIntegrate[Log[((1-x^2)Pi^2+4(Sqrt[1-x^2]ArcTanh[x]+x)^2)/((1-x^2)Pi^2+4(Sqrt[1-x^2]ArcTanh[x]-x)^2)],{x,0,1},WorkingPrecision->50]]> 0.73908513321516064165531208767387340401341175890075746496567242428255184768807`50.12267193056545> 0.73908513321516064165531208767387340401341175890075746496567993239614795659229`51.22422170141253
参考书目
1.On Taylor series and Kapteyn series of the first and second type
2.Kepler's equation, radiation problems and Meissel's expansion
3.An exact analytical solution of Kepler's Equation

本文由超级数学建模编辑整理
来自酱紫君(知乎)
https://zhuanlan.zhihu.com/p/36297534


大道至简 万物于弧
*滑动验证:
您需要登录后才可以回帖 登录 | 立即注册

本版积分规则

手机版|Archiver|小黑屋|国际弧学研究会    

GMT-7, 2025-12-20 11:50 , Processed in 0.923832 second(s), 22 queries .

Powered by Discuz! X3.1

© 2001-2013 Comsenz Inc.

快速回复 返回顶部 返回列表