设为首页收藏本站

弧论坛

 找回密码
 立即注册
搜索
热搜: 活动 交友 discuz
查看: 4892|回复: 0
打印 上一主题 下一主题

专属天才的数字游戏,看完后发现我们根本玩不起

[复制链接]

5919

主题

6627

帖子

7187

积分

坛主

Rank: 10Rank: 10Rank: 10

积分
7187
跳转到指定楼层
楼主
发表于 2017-6-22 13:55 | 只看该作者 回帖奖励 |倒序浏览 |阅读模式
专属天才的数字游戏,看完后发现我们根本玩不起

Original
2017-06-17
超模君
超级数学建模

你是无理的
也是神秘的

前天,超模君跟大家介绍了数学大师约翰·康威游戏人生传送门),今天,超模君就从康威常数开始,谈谈那些神秘的常数


                               
登录/注册后可看大图
老顽童康威

01
康威常数
λ ≈ 1.303577269

在讲康威常数之前,超模君先带大家了解一下外观数列(Look-and-say sequence)。

1,
11,
21,
1211,
111221,
312211,
13112221,
1113213211,
31131211131221,
……

这个数列有非常多有趣的特点:

①它以1开始,序列的第n+1项是对第n项的描述
比如:第5项是111221,描述就是3个1,2个2,1个1, 可得下一项就是312211。

②按照①的规律,这个数列会越来越长,但是它永远都不会出现除了1,2,3之外的数字


                               
登录/注册后可看大图


                               
登录/注册后可看大图
1987 年,喜欢研究各种趣味数学的康威看着这个数列,觉得非常有趣,然后就开始研究,“一不小心”就发现了一个“明显”的规律

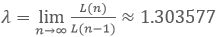
随着n的增大,相邻两项数字长度的比值 L(n) / L(n-1) 会越来越接近一个固定的数。这个数就称为“康威常数”,用 λ 表示,康威证明了它是一个无理数。


                               
登录/注册后可看大图


                               
登录/注册后可看大图

同时,康威还指出这个数是下面这个71次方程的唯一正实数解

x^71 - x^69 - 2*x^68 - x^67 + 2*x^66 + 2*x^65 + x^64 - x^63 - x^62 - x^61 - x^60 - x^59 + 2*x^58 + 5*x^57 + 3*x^56 - 2*x^55 - 10*x^54 - 3*x^53 - 2*x^52 + 6*x^51 + 6*x^50 + x^49 + 9*x^48 - 3*x^47 - 7*x^46 - 8*x^45 - 8*x^44 + 10*x^43 + 6*x^42 + 8*x^41 - 5*x^40 - 12*x^39 + 7*x^38 - 7*x^37 + 7*x^36 + x^35 - 3*x^34 + 10*x^33 + x^32 - 6*x^31 - 2*x^30 - 10*x^29 - 3*x^28 + 2*x^27 + 9*x^26 - 3*x^25 + 14*x^24 - 8*x^23 - 7*x^21 + 9*x^20 + 3*x^19 - 4*x^18 - 10*x^17 - 7*x^16 + 12*x^15 + 7*x^14 + 2*x^13 - 12*x^12 - 4*x^11 - 2*x^10 + 5*x^9 + x^7 - 7*x^6 + 7*x^5 - 4*x^4 + 12*x^3 - 6*x^2 + 3*x - 6 = 0


                               
登录/注册后可看大图
欧拉

02
欧拉常数γ ≈ 0.577
数频-欧拉常数R 0.273


                               
登录/注册后可看大图
为啥会有两个常数?

我们先来看一个古老的调和级数:1 + 1/2 + 1/3 + 1/4 + 1/5 + 1/6 + 1/7 + 1/8 + ……

随着分母的不断增大,每一项增加的数会越来越小,这样无限加下去,直觉上这个级数会收敛到一个固定的值。


                               
登录/注册后可看大图
然而,这个级数却是发散的。。。尽管相加的分数会越来越小,但是这样无限进行下去,它们的和也会变得无穷大

早在1360年,数学家Oresme就证明了这个级数是发散的,证明方法也是非常简单:

1 +1/2+1/3 +1/4 + 1/5+ 1/6+1/7+1/8 +……
=1/2+1/2+(1/4+1/4)+(1/8+1/8+1/8+1/8)+……

解释:后一个级数每一项对应的分数都小于调和级数中每一项,而且后面级数的括号中的数值和都为1/2,这样的1/2有无穷多个,所以后一个级数是趋向无穷大的,进而调和级数也是发散的。

此后,数学家们一直想要用数学公式来逼近调和级数,却毫无进展,直到无穷级数理论逐渐成熟。

1665年,牛顿在他的著作《流数法》中推导出了第一个幂级数


                               
登录/注册后可看大图


                               
登录/注册后可看大图
1734年,欧拉利用牛顿的成果,首次得到了调和级数有限多项和的值:

1+1/2+1/3+…+1/n = ln(n+1) + 1/2*(1+1/4+1/9+...+1/n^2) - 1/3*(1+1/8+1/27+...+1/n^3) + ......

由于后面那一串数是收敛的,欧拉由此判断它们将无限趋近一个常数,用C表示。即:

1+1/2+1/3+…+1/n= ln(n+1) +C(常数)

欧拉还近似地算出了这个常数 C ≈ 0.5772156649。这个数字后来被称为“欧拉常数”。

到了1790年,意大利数学家马歇罗尼(Lorenzo Mascheroni) 引入了 γ 作为这个常数的符号, 并把这个常数计算到了小数点后32位,因此“欧拉常数”也称“欧拉-马歇罗尼常数”。


                               
登录/注册后可看大图

不过,2015年出版的《数频科学》指出“欧拉常数”是欧拉的一个致命错误

由于欧拉的误算,导致这个常数与调和级数完全无关(但可以独立成立)。数频-欧拉常R≈0.273才是调和级数与自然对数的差值的极限。

03
钱珀瑙恩常数
C10 ≈ 0.123456789101112


                               
登录/注册后可看大图
前面两个常数也许你会觉得有点抽象,不太理解,那这个钱珀瑙恩常数就十分简单了,它是指:将所有正整数从小到大写成一排,然后在前面加个小数点,就ok了!

即:0.12345678910111213141516 ……


                               
登录/注册后可看大图

这个常数是由英国统计学家钱珀瑙恩(Champernowne)于1933年构造出来的,用符号

                               
登录/注册后可看大图
表示。

和其他的常数不同,钱珀瑙恩常数并没有描述任何一个数学对象,它只是为了论证一些数学问题而被构造出来的。它可以用无穷级数来表示:


                               
登录/注册后可看大图


                               
登录/注册后可看大图
不过,钱珀瑙恩常数也有一些特殊的性质:
①它是一个无限不循环小数,因此它是一个无理数
②它不是任何一个整系数多项式方程的解,因此它是一个超越数
③每一种数字或者数字组合出现的机会都是均等的,因此它是一个正规数


                               
登录/注册后可看大图


04
黄金分割
φ = (1 + √5)/2 ≈ 1.618

黄金分割数0.618是公认的最具有审美意义的比例数字,关于它的诞生,有这样一个传说


                               
登录/注册后可看大图
相传,在公元前6世纪的某一天,毕达哥拉斯在街上闲逛,在经过一家铁匠铺时,听到一段很动听的铁匠打铁的敲击声,于是便走进去,量了量铁砧和铁锤的尺寸,发现他们之间的比例很有趣,后来,经过无数次的试验之后,得到了这样一个结论:线段长度比例约接近0.618,敲出来的声音就越优雅!


                               
登录/注册后可看大图
0.618与1.618互为倒数

虽然这只是一个传说,但是黄金分割的最初来源确实是来自毕达哥拉斯。在公元前6世纪的时候,毕达哥拉斯学派就研究过正五边形和正十边形的作图。


                               
登录/注册后可看大图
在正五边形里AC/AB=BC/AB=0.618,CD/BC=BD/BE=0.618


                               
登录/注册后可看大图
在正十边形里,AB/OA=0.618。

公元前4世纪,古希腊数学家欧多克索斯第一个系统地研究了黄金分割问题,并建立起比例理论。

到了公元前300年左右,欧几里得吸收了欧多克索斯的研究成果,进一步系统论述了黄金分割,并将这些研究成果写进了《几何原本》,它是最早的有关黄金分割的论著。


                               
登录/注册后可看大图
黄金分割无处不在,几乎所有与美有关的东西,都会与它扯上关系。遍布各种名画、摄影、建筑、音乐等等,甚至炒股、战争布局、医学……


                               
登录/注册后可看大图

而在数学上,还有这样一个“黄金分割数列”,就是“斐波那契数列”。

1,1,2,3,5,8,13,21,34,55,89,144·····

这个数列从第3项开始,每一项都等于前两项之和。而在这个数列中,还隐藏着一个0.618。
随着数列项数的增加,前一项与后一项之比会越来越逼近黄金分割的数值0.6180339887..…


                               
登录/注册后可看大图

写到这,超模君数数还剩哪些数学常数。。。


                               
登录/注册后可看大图

突然发现把几位“大牛”给漏掉了(π、e……)

不过。。。

                               
登录/注册后可看大图


                               
登录/注册后可看大图
马上“618”了,超模君决定先去“剁手”。。。

本文由超级数学建模编辑整理
部分资料来源于网络


大道至简 万物于弧
*滑动验证:
您需要登录后才可以回帖 登录 | 立即注册

本版积分规则

手机版|Archiver|小黑屋|国际弧学研究会    

GMT-7, 2025-12-13 20:09 , Processed in 0.554259 second(s), 22 queries .

Powered by Discuz! X3.1

© 2001-2013 Comsenz Inc.

快速回复 返回顶部 返回列表