设为首页收藏本站

弧论坛

 找回密码
 立即注册
搜索
热搜: 活动 交友 discuz
查看: 5945|回复: 0
打印 上一主题 下一主题

虚数到底有什么意义?从 i 说起

[复制链接]

5919

主题

6627

帖子

7187

积分

坛主

Rank: 10Rank: 10Rank: 10

积分
7187
跳转到指定楼层
楼主
发表于 2017-5-12 00:29 | 只看该作者 回帖奖励 |倒序浏览 |阅读模式
虚数到底有什么意义?从 i 说起

2017-05-04
超级数学建模

存在?
不存在?

之前超模君讲过令人无比困惑的自然底数e(传送门),有模友就表示虚数 i 也是一个磨人的小妖精。

莱布尼茨就曾说:虚数是神灵遁迹的精微而奇异的隐秘所,它大概是介于存在与不存在之间的两栖动物。

连大神都这样形容虚数,然而各位模友还记得当初老师跟我们讲虚数的时候是怎样讲的吗?

是不是直接说 i² = -1呢。

小天连连点头:老师就是这样说的。实话说,我现在也不知道为什么是这样。只知道


                               
登录/注册后可看大图

                               
登录/注册后可看大图

                               
登录/注册后可看大图
。。。

那今天超模君就从 i 说起吧。

关于 i 的定义,首先,我们在实数轴上标好1和-1。


                               
登录/注册后可看大图

现在我们将数轴的正向部分,绕着原点逆时针旋转180°,这样,+1就变成了-1。


                               
登录/注册后可看大图

那如果我们分开两次来旋转,就变成了这样:


                               
登录/注册后可看大图

这时,你是不是已经发现数轴上的那一个小小的 i 了?


                               
登录/注册后可看大图
小天迷糊中。。。

事实上, i 的本质是单位周期结构最基本形式,它并不是一个数,确切地说就是一个旋转量

而关于这个旋转量,根据上面所说的旋转变换,我们可以列出这个关系式:

1·(逆时针旋转90°) ·(逆时针旋转90°) = -1

即(逆时针旋转90°)²= -1。

现在我们将"逆时针旋转90°"记为 i ,终于得出了老师们讲的 i² = -1

因此, i 就是意味着逆时针旋转90°,-i 就是顺时针旋转90°。


                               
登录/注册后可看大图

下面这个图就很直观的表达了关于 i 的运算


                               
登录/注册后可看大图

也许会有人觉得困惑:为什么要给-1开平方?这样转换来转换去的到底有什么用?

别急,我们先讲讲复数的定义。

现在,我们将纵轴作为虚数轴,横轴作为实数轴。

如果我们不是旋转90°,而是旋转45°的话,就得到了 1+i 。


                               
登录/注册后可看大图

任意实数旋转某一个角度所得到的点就用 a+bi 来表示,这就是复数的定义式。


                               
登录/注册后可看大图

虚数的引入,大大方便了涉及到旋转的计算

比如,物理学需要计算"力的合成"。假定一个力是 3 + i ,另一个力是 1 + 3i ,请问它们的合成力是多少?


                               
登录/注册后可看大图

根据"平行四边形法则",你马上得到,合成力就是 ( 3 + i ) + ( 1 + 3i ) = ( 4 + 4i )。

这就是虚数加法的物理意义

如果涉及到旋转角度的改变,处理起来更方便。


                               
登录/注册后可看大图

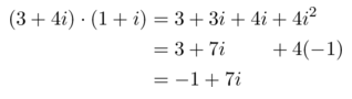
假设我们现在一艘船上,船的航向是 3 + 4i ,我们现在将船的航向逆时针旋转45°,那么,我们最新的航向应该如何表示?


                               
登录/注册后可看大图

45°的航向就是 1 + i 。计算新航向,只要把这两个航向 3 + 4i 与 1 + i 相乘就可以了。(为什么要相乘呢?)


                               
登录/注册后可看大图

所以,新的航向就是 -1 + 7i 。

这就是虚数乘法的物理意义:改变旋转角度

  • 最后,对于为什么旋转=乘,有一个非常简单的证明。



                               
登录/注册后可看大图

任何复数 a + bi,都可以改写成旋转半径 r 与横轴夹角 θ 的形式。
假定现有两个复数 a + bi 和 c + di,可以将它们改写如下:
a + bi = r1 * ( cosα + isinα )
c + di = r2 * ( cosβ + isinβ )
这两个复数相乘,( a + bi )( c + di ) 就相当于
r1 * r2 * ( cosα + isinα ) * ( cosβ + isinβ )
展开后面的乘式,得到
cosα * cosβ - sinα * sinβ + i( cosα * sinβ + sinα * cosβ )
根据三角函数公式,上面的式子就等于
cos(α+β) + isin(α+β)
所以,
( a + bi )( c + di ) = r1 * r2 * ( cos(α+β) + isin(α+β) )


本文由超级数学建模编辑整理
资料来源于阮一峰
大道至简 万物于弧
*滑动验证:
您需要登录后才可以回帖 登录 | 立即注册

本版积分规则

手机版|Archiver|小黑屋|国际弧学研究会    

GMT-7, 2025-12-14 15:33 , Processed in 0.561379 second(s), 23 queries .

Powered by Discuz! X3.1

© 2001-2013 Comsenz Inc.

快速回复 返回顶部 返回列表