设为首页收藏本站

弧论坛

 找回密码
 立即注册
搜索
热搜: 活动 交友 discuz
查看: 3632|回复: 0
打印 上一主题 下一主题

有人要挑战暗物质理论,并迈开了“万里长征”的第一步

[复制链接]

5917

主题

6625

帖子

7185

积分

坛主

Rank: 10Rank: 10Rank: 10

积分
7185
跳转到指定楼层
楼主
发表于 2018-1-10 21:32 | 只看该作者 回帖奖励 |倒序浏览 |阅读模式
有人要挑战暗物质理论,并迈开了“万里长征”的第一步

2018-01-11
蔡一夫、王东刚
中科院物理所




                               
登录/注册后可看大图
冷暗物质模型内形成的暗物质纤维状大尺度结构和星系,图片来源:ANMH


撰文 | 蔡一夫(中国科学技术大学),王东刚(荷兰莱顿大学)
责编 | 吕浩然

● ● ●

荷兰,享誉世界的风车之国,一个兼具西欧湿润气候和郁金香芬芳浪漫的国度。在这个宽容自由的环境里,新思想的诞生不会令人过分意外。今年暑期,一只活蹦乱跳的笔者抓住假期仅存的一节尾巴,来到了荷兰莱顿大学(Leiden University)洛伦兹研究所和历史悠久的莱顿天文台,访问了这里的宇宙学研究组,也恰好遇见了一群充满激情的年轻研究者,他们的研究涉及到检验一种不需要引入暗物质的新引力理论。


星系旋转曲线引发的猜想

那么,什么是暗物质呢?物理学家又为什么要研究这种至今未被探测到的物质粒子?

在牛顿和爱因斯坦的引力理论中,有质量物体的引力强度与距离它的尺度平方呈反比关系。这意味着,围绕银河中心旋转的星体在越远的轨道上运行,所感应的引力也就越小,速度也会慢下来。

然而,20世纪70年代美国天文学家维拉•鲁宾(Vera Rubin)在长年累月的夜空观测下发现了星系旋转速度的“扁平化”现象。半个多世纪以来,天文学家们坚信在日常可见的星系和星系团背后隐藏着一大团“看不见”的物质,正是这种不可见的物质为星系中的星体带来了额外的引力加速,从而导致了星系旋转速度的“扁平化”现象(见图1)。


                               
登录/注册后可看大图
图1:左为美国天文学家维拉•鲁宾(1928-2016)实验照;右为星系旋转速度与半径关系图,
其中虚线给出了理论上没有暗物质的预期曲线,而实线为真实观测曲线。
图片来源:左Archives & Special Collections, Vassar College Library[1];右:wikipedia[2].

这一假设存在的不可见物质被称为暗物质(dark matter)。经由引力透镜、宇宙大尺度结构形成、微波背景辐射等多种天文实验的探测,并结合爱因斯坦引力框架下的标准大爆炸宇宙学理论模型,可以得知:整个宇宙的构成中,常规的可见物质(即重子物质,baryon matter)只占不到5%,而暗物质则占25%以上,剩下的则为暗能量。

暗物质的存在可以解决大爆炸理论中的不自洽性,并在宇宙的结构形成中扮演着至关重要的角色。而根据热大爆炸模型的描述,物理学家倾向于认为,暗物质可能是一种(或多种)粒子物理标准模型以外的新粒子,只参与引力作用,或者部分参与弱相互作用,并且质量与普通粒子相比更大,即大质量弱相互作用粒子(WIMP)。

因此,对暗物质的研究是现代宇宙学和粒子物理领域十分重要的课题。成百上千的物理学家们绞尽脑汁设计用各种非常规方法对它进行探测,例如,国际上的CDMS、CoGeNT 、XENON、LUX和中国的PandaX、CDEX、DAMPE等各种暗物质实验正在夜以继日地努力工作,试图捕获这些不可见的暗物质粒子。


引力之源——熵力?

然而,就在大家热火朝天地寻找新粒子时,也有人在质疑暗物质猜想的根基。

2016年11月,荷兰理论物理学家埃里克•弗林德(Erik Verlinde)在预印本上发表了一篇长达51页的论文[3]。他认为,我们看到的所谓暗物质效应只不过是引力作为“熵力”所带来的一个副产物。这篇极具争议的文章一经面世,就如同一枚重磅炸弹在物理界中炸开了锅。多年来大家梦回牵萦的暗物质粒子或许并不存在?!

那么,“熵力”又是什么?


                               
登录/注册后可看大图
图2:荷兰理论物理学家埃里克•弗林德 (Eric Verlinde),图片来源:NWO, Arie Wapenaar[4]

目前,人类对于引力相互作用最成功的描述依然是爱因斯坦在100年前提出的广义相对论。这一优美的理论已经成功描述了从太阳系到膨胀宇宙等众多引力系统。其最后一块拼图——引力波也在2016年2月被LIGO探测到,并获得了2017年的诺贝尔物理学奖。

然而,在人类探索引力本质的道路上依旧谜团重重。一方面,如果要在爱因斯坦的引力理论框架下解释众多的宇宙学观测,我们需要引入未知的暗物质和暗能量;另一方面,从理论自洽性上讲,广义相对论和现代物理的另一大支柱——量子力学在最基本的层面上皆存在不可调和的矛盾。这让人们相信,应该存在更为基本的量子引力理论来描述宇宙万物。

在上个世纪七十年代,贝肯斯坦(Jacob Bekenstein)和霍金(Stephen William Hawking)对黑洞热力学的研究将上述两大理论的冲突清晰地展现了出来。

通常,物理学家用“熵”来表示系统的混乱程度,传统理论当中这个物理量跟整个系统的微观状态数有关系,所以被认为是正比于系统的体积。然而,贝肯斯坦和霍金通过理论计算发现,黑洞系统的熵却需要正比于黑洞视界的表面积,才能够满足放诸四海而皆准的热力学第二定律:一个孤立系统的总熵不会减小(也被称为熵增定律)。

上述被称之为“面积定律”的理论发现指引了接下来数十年关于量子引力的研究,并直接导致了后来“全息原理”的提出。该原理声称,一个物理系统内的信息原则上可以由它的边界上的自由度完全描述。这个原理最初由荷兰物理学家杰拉德·特霍夫特(Gerard 't Hooft)所提出,之后被志在引力量子化的弦理论家们发扬光大,因此它被视为量子引力理论的一个重要性质。

也正是基于这一原理,现在很多物理学家认为,也许不仅仅是针对黑洞这类极端天体,引力的全息性可能适用于整个宇宙。如果这个猜想是正确的,那也就意味着我们生活的三维宇宙其实是它二维边界上的全息屏的投影!

弗林德关于“引力是熵力”的观点,客观地说并不新鲜,它其实正是基于全息原理发展起来的。最新的理论发展试图在告诉我们:引力和时空本身也许是在宏观尺度上的一种“涌现现象(emergent phenomena)”,而其微观起源可能是量子态之间的纠缠效应。

在理论物理学家的“辛勤努力”之下,引力的全息性和相应的量子纠缠解释已经在一类被称作反德西特(Anti-de Sitter,AdS)时空的结构中得到了充分体现。然而,这类时空仅是理论学家们的头脑风暴中假设出来的,在真实的宇宙中并没有发现其存在的迹象。现有的理论和实践也告诉我们:由于暗能量的存在,我们真实生活的宇宙正处在类似于德西特时空(de Sitter,dS)的加速膨胀阶段。

弗林德还认为,与反德西特时空不同,静态的全息原理和对应的严格面积定律并不完全适用于德西特时空,这是因为真实的宇宙是动态演化的,相应的宇宙学视界(cosmological horizon)会随时间变化,于是就会导致存在着与宇宙学视界相关的额外纠缠的熵贡献。

如果这类熵的贡献在整个宇宙空间可以均匀分布的话,它将在原来的面积定律上带来一个正比于体积的修正项(见图3)。而这一修正项的贡献,在星系尺度上将改写牛顿引力的平方反比率。那么,我们不需要假设暗物质的存在,仅通过普通的重子物质和弗林德修改后的引力公式就可以解释星系旋转曲线的观测。

换句话说,普通物质和暗能量的相互作用恰好产生了暗物质存在的假象。


                               
登录/注册后可看大图
图3:左为荷兰艺术家莫里兹·柯尼利斯·埃舍尔(Maurits Cornelis Escher)的作品,它体现了一个边界无穷远的开宇宙概念图;右为Erik Verlinde提出的熵力宇宙论概念图。他认为宏观上宇宙满足全息原理,其主要熵来自德西特(dS)时空视界,但由于真实宇宙是动态的,相应的宇宙学视界会随时间变化,这导致了额外的粗粒化的熵修正,其效应等价于MOND模型。图片来源:左:M.C. Escher, Circle Limit IV (Heaven and Hell), 1960[5];右:Image credit: Zoltán Vörös of flickr[6]。

其实,这种对引力的修改并不是第一次出现。大约三十年前,就有人提出过用类似的方式修改牛顿动力学理论(MOdified Newtonian Dynamics,MOND[7])来取代暗物质。然而,作为一个唯象模型,MOND这类修改引力的方式一直遭受许多理论物理学家的诟病。

对于这个精神洁癖症候群来说理由很简单——这太不自然太不优雅了!因此,弗林德的工作无疑为MOND模型注入了一针兴奋剂。他从基本理论出发重新推导出了MOND,并从信息和熵的角度诠释了为何引力有可能在星系和星系团尺度上偏离标准图像。


“万理皆有一测”

解释星系旋转曲线只是弗林德引力的万里长征第一步,正所谓“万理皆有一测”,一个合理的理论需要接受各种实验观测的检验,这当然包括解释暗物质存在的其它观测证据。在弗林德的文章发表后不久,来自荷兰莱顿大学的博士研究生玛格特•布劳威尔(Margot Brouwer)及其导师库恩·库伊肯(Koen Kuijken)所率领的天文学家团队利用弱引力透镜效应对该理论进行了第一次检验[8]。

光在引力场附近经过时会像通过透镜一样发生弯曲,所以,我们可以通过观测星体光线的偏折来探测引力场的质量分布。而弱引力透镜主要关注的则是星系尺度上光线偏折的情况。因为在传统宇宙学中这一效应只跟星系及暗物质晕的总质量有关,弱引力透镜通常也被认为是最好的测量暗物质的手段。

那么,这项观测会不会“打脸”弗林德的理论呢?


                               
登录/注册后可看大图
图4:莱顿大学博士生 Margot Brouwer,图片来源:universiteitleiden[9]。

玛格特•布劳威尔是一位热情开朗的荷兰女生,博士期间已经在引力透镜专家Kuijken教授的指导下做出了不少漂亮的天文学研究工作。她虽然是一名天文学家,但同时也对理论物理也保持着浓厚的兴趣。

在一次弗林德关于“熵力”的学术报告会上,她注意到了弗林德修改后的引力公式,然后灵光一闪——这个新理论可以用自己所熟悉的弱引力透镜来检验!经过反复的讨论,她所在的莱顿天文台研究团队认可了这个想法,并决定利用最新的弱引力透镜数据来实现它。

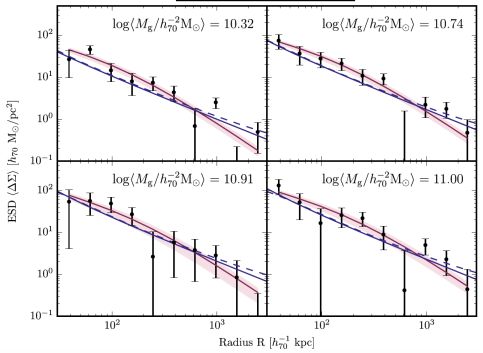
在用统计方法分析了3万多个星系间的物质分布之后,研究团队发现,弗林德的引力理论能够正确预测来自星系的光所发生的引力透镜效应。随后,他们又进一步比较了暗物质理论和弗林德引力在弱引力透镜效应上的细微差异(见图5)。

结果显示,目前的观测数据非常微弱的偏向于最好的暗物质模型。然而,玛格特同时指出,这个暗物质模型需要四个自由参数来拟合观测数据。相比之下,弗林德的理论却不依赖任何自由参数就能给出相似的预言。


                               
登录/注册后可看大图
图5:不同的理论预言与实际天文观测的比较。图中红色曲线代表标准的暗物质模型,黑色曲线代表弗林德引力,误差棒源自KiDS弱引力透镜巡天数据。图片来自:MNRAS[8].

那么,究竟谁才是正确的?我们现在还不能给出定论,但相信未来更多的弱引力透镜巡天观测会给出更明确的答案。

相较于粒子起源的暗物质理论解释而言,仅仅是星系旋转曲线和引力透镜效应还远远不能满足人们对一个新的引力理论的期待。从理论层面上说,物理学家们在AdS时空中所构造的全息模型是有详尽的理论分析来论证的,其动力学方程可以从基本理论中推导出来。

然而,目前弗林德的引力还不能做到这一点,它需要一定的假设条件才能通过类比的方法来写下部分运动方程。这使得弗林德的模型对暗物质动力学性质的描述并不够精确。因此,面对更多更高精度的天文实验观测,这个理论模型还不能交出令人信服的答卷。


万里长征才刚刚开始
弗林德的另一个“罩门”就是所谓的子弹星系团簇(Bullet Cluster)——波澜壮阔的两个星系团相撞过程。

天文学家用光学方法观测到两个星系团重子物质气体的质量位置,同时又用引力透镜方法测量了星系团总质量的中心位置,结果发现二者并不重合。最直观的解释是,在两个星系团相撞期间,暗物质只参与了引力作用,而可见物质之间则发生了摩擦碰撞,于是可见物质滞留在暗物质后面使得二者的质心出现偏离。

显然,缺乏动力学演化的弗林德引力目前还无法解释上述观测事实。

此外,弗林德还需要思考如何解释宇宙微波背景辐射(CMB)以及宇宙大尺度结构演化中的重子声波振荡,这一效应也通常被认为是暗物质所留下的观测印记。CMB提供了宇宙在婴儿时期的一张快照,宇宙学家相信如果暗物质是粒子,其质量会发生引力相吸,然后由于粒子本性会发生弹性碰撞,从而在CMB温度功率谱上留下一系列特有的“峰”和“谷”等观测印记。


                               
登录/注册后可看大图
图6:左为钱德拉X射线天文台所给出的Bullet Cluster实验观测结果;右为普朗克卫星所给出的CMB温度涨落观测结果。图片来源:左:wikipedia[10];右:PLANCK[11].

这些现象都已被一系列天文实验以很高的精度测量过,并在暗物质粒子模型中得到了极佳的理论解释。因此,若弗林德的新模型想要满足的更多期待,则需要对这些天文现象给出至少同样成功的解释。在这一点上,弗林德的理论模型才刚刚开了一个头,后面还有很长的路要走。

参考文献:
[1]http://www.astronomy.com/news/2016/10/vera-rubin
[2]https://en.wikipedia.org/wiki/Galaxy_rotation_curve
[3]Verlinder, E. P. Emergent gravity and the dark universe(http://adsabs.harvard.edu/abs/2016arXiv161102269V)
[4]http://home.medewerker.uva.nl/en/content/news/press-releases/2016/11/new-theory-of-gravity-might-explain-dark-matter.html?page=15&pageSize=20&origin=kUP%2Byx6UTZqvuJiCJKnnEQ
[5]http://mathstat.slu.edu/escher/index.php/Hyperbolic_Geometry
[6]https://www.forbes.com/sites/startswithabang/2017/02/28/is-dark-matter-about-to-be-killed-by-emergent-gravity/
[7]Milgrom, M. (1983). "A modification of the Newtonian dynamics as a possible alternative to the hidden mass hypothesis". Astrophysical Journal. 270: 365–370.
[8]Brouwer et al. 2017, MNRAS, 466, 2547(http://adsabs.harvard.edu/abs/2017MNRAS.466.2547B)
[9]https://www.universiteitleiden.nl/en/staffmembers/margot-brouwer
[10]https://en.wikipedia.org/wiki/File:Bullet_cluster.jpg.
http://cxc.harvard.edu/symposium_2005/proceedings/files/markevitch_maxim.pdf
[11]http://www.esa.int/spaceinimages/Images/2013/03/Planck_CMB

来源:知识分子
编辑:loulou


大道至简 万物于弧
*滑动验证:
您需要登录后才可以回帖 登录 | 立即注册

本版积分规则

手机版|Archiver|小黑屋|国际弧学研究会    

GMT-7, 2025-10-21 11:18 , Processed in 0.559184 second(s), 22 queries .

Powered by Discuz! X3.1

© 2001-2013 Comsenz Inc.

快速回复 返回顶部 返回列表