设为首页收藏本站

弧论坛

 找回密码
 立即注册
搜索
热搜: 活动 交友 discuz
查看: 3732|回复: 0
打印 上一主题 下一主题

黑体辐射叛逆经典 普朗克释放量子妖精

[复制链接]

5919

主题

6627

帖子

7187

积分

坛主

Rank: 10Rank: 10Rank: 10

积分
7187
跳转到指定楼层
楼主
发表于 2019-11-19 03:48 | 只看该作者 回帖奖励 |倒序浏览 |阅读模式
黑体辐射叛逆经典 普朗克释放量子妖精 | 量子群英传[color=rgba(0, 0, 0, 0.298)]

[color=rgba(0, 0, 0, 0.298)]From: [color=rgba(0, 0, 0, 0.298)]张天蓉
赛先生
[color=rgba(0, 0, 0, 0.298)]4 days ago
[color=rgba(0, 0, 0, 0.298)]

[color=rgba(0, 0, 0, 0.298)]
1900年4月,著名物理学家开尔文男爵发表了他的著名演讲,提到物理学阳光灿烂的天空中漂浮着的“两朵小乌云”。谁能想到,其中的一朵竟引发了一场颠覆经典物理学的量子革命。在这场至今仍未完成的革命中,多少英雄前仆后继,为量子大厦夯实根基、添砖加瓦……
“赛先生”特邀美国理论物理博士、科普作家张天蓉,开设“量子群英传”专栏,通过一个个生动的人物故事,将量子物理的百年历史娓娓道来。
今日推出“开天辟地”的第一回:黑体辐射叛逆经典 普朗克释放量子妖精。

                               
登录/注册后可看大图

(图源:wikipedia)

撰文 | 张天蓉

量子学之父,已垂垂老矣
1946年夏天的英国剑桥,弯弯曲曲的剑河两岸,既有壮观的哥特式风格建筑,又有柳绿青翠的田园风光。一位老者,步履蹒跚地徘徊于一条田间小路,若有所思,若有所忆,不经意间撞到一个正在玩耍的小男孩。

男孩金发碧眼,看似八、九来岁,观此身着西装之老者:饱满的前额,几根稀疏的头发,纹丝不乱地贴在光秃秃的大脑门上,眼镜下透出的目光,虽沉稳却显无力。男孩感觉他不似当地人,于是张口便问:“老爷爷何方人士?”
老者见孩子聪明可爱,布满皱纹的脸上浮起一丝难得的笑容,仿孩子的语气答曰:“在下德国人普朗克是也!”
不料男孩眼睛一亮:“莫非是那位打开潘多拉魔盒,放出了量子小妖精的马克斯·普朗克?”
老者道:“正是敝人......”
孩子喜出望外:“啊,原来你就是前辈们常提起的量子之父!久仰久仰!”
男孩立即兴奋地拉住老者不放,要听他讲量子妖精的故事......

                               
登录/注册后可看大图

(图源:colnect.com)

这段对话是笔者杜撰的,但场景和年代却是真实的。那年刚刚停止战乱,大局方定。已经88岁的普朗克,支撑着虚弱不堪的病体,从柏林来到英国,参加英国皇家学会举办的,因战乱而推迟了四年的牛顿诞辰300周年纪念会。在所有与会科学家中,普朗克是唯一受到邀请的德国人,这固然是基于他在科学界的崇高地位。

田间漫步的普朗克,当年的确是到了行思坐忆的年龄,小男孩的一连串问题勾起了他的回忆,往事一桩桩浮上脑际......
这次来参加他毕生崇拜的物理学祖师爷牛顿之300年冥寿纪念会,怎能不回忆自己“理解和质疑同在,保守与创新共存”的学术生涯?皇家学会邀请的专家遍布世界各地,周培源、钱三强、何泽慧等中国物理高手亦受邀请。当年的德国人中不乏有名的物理学家,纪念会却独请他一人。
悲情伟人,以国以民为先!作为一个热爱德意志的战败国国民,他是否会反思他那盲目的爱国情怀?他又怎能不缅怀他的民族及自己坎坷磨难的一生呢?还有他破碎的家庭和两次大战中失去的亲人……
况且,他来参加会议的目的之一,仍然是企图战后重建德国科学界的地位。
马克斯·普朗克(Max Planck,1858-1947)出身于一个学术家庭,曾祖父和祖父都是神学教授,父亲是法律教授。普朗克是父亲这个大家庭中的第六个孩子,在德国北部之城基尔出生。
普朗克从小就是科学的信徒!牛顿的信徒!经典物理的信徒!虽然他很有音乐天赋,唱歌弹琴都很在行,还曾经准备攻读音乐,但最后仍然舍弃不了更为钟爱的物理!
他的大学数学老师亦尝劝之:弃物理,学别的!因为物理那儿已经有了牛顿和麦克斯韦之理论,经典物理学的大厦完美无缺,凡事皆有路可循、有道可通,似乎已经无题可究、无物可修了,剩下的只是打扫垃圾、填补漏洞而已!
普朗克则淡然答之:“吾并非期待发现任何新大陆,仅望深入理解已存之物理学基础,知足也。”
爱因斯坦在1918年4月由柏林物理学会举办的普朗克60岁生日庆祝会上发表演讲曰:“科学殿堂各式各样人物多矣,或求智力快感者,或欲追名逐利者。普朗克却非此二类人士,纯粹为虔诚物理之信徒,此吾所以深爱之也。”
1877年,普朗克转学到柏林洪堡大学,在著名物理学家亥姆霍兹、基尔霍夫,数学家卡尔·魏尔施特拉斯手下学习。普朗克虽然在学术上受益匪浅,但对老师们的教学态度则不以为然。例如,普朗克如此评论亥姆霍兹:“他让学生觉得上课很无聊,因为(他)不好好准备,讲课时断时续,计算时经常出现错误。”这些经验,促使普朗克自己后来成为一个严肃认真、从不出错的好老师。
1879年,年仅21岁的普朗克获得了慕尼黑大学的博士学位,论文题目是《论热力学第二定律》。在度过了相对平静的十几年教职生涯后,从1894年开始,普朗克被黑体辐射的问题困惑住了!

                               
登录/注册后可看大图

解黑体辐射,玩数学游戏
黑体是什么?黑体辐射又是什么呢?

黑体可被比喻为一根黑黝黝的拨火棍,但黑体不一定“黑”,太阳也可被近似当作黑体。在物理学的意义上,黑体指的是能够吸收电磁波,却不反射不折射的物体。虽然不反射不折射,仍然有辐射!正是不同波长的辐射使“黑体”看起来呈现不同的颜色。
例如,在火炉里的拨火棍,随着温度逐渐升高,能变换出各种颜色:一开始变成暗红色,然后是更明亮的红色,然后是亮眼的金黄色,再后来还可能呈现出蓝白色。为什么有不同的颜色呢?因为拨火棍在不同温度下辐射出不同波长的光。换言之,黑体辐射的频率是黑体温度的函数(频率与波长成反比关系)。
物理学家追求的,不仅要知其然,还要知其所以然,所以之后还有更深一层的“所以然”!那么,如何从我们已知的物理理论,得到黑体辐射的频率规律呢?

                               
登录/注册后可看大图

(图源:wikipedia)

那时候是19世纪末,已知的物理理论有:经典的电磁学、牛顿力学,还有波尔兹曼的统计、热力学等......

1893年,德国物理学家威廉·维恩(Wilhelm Wien,1864-1928),利用热力学和电磁学理论证明了表达黑体辐射中电磁波谱密度的维恩定律,见上图中的蓝色曲线。 约翰·斯特拉特,人称第三代瑞利男爵(Rayleigh,1842-1919),基于经典电磁理论,加上统计力学,导出了一个瑞利-金斯公式,如图中红线所示。
但两个结果都不如人意:维恩定律在高频与黑体辐射实验符合很好,低频不行;而瑞利-金斯公式适用于低频,在高频则趋向无穷大,引起所谓“紫外发散”(也称紫外灾难)。
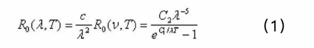
普朗克一开始想到的,是玩弄简单的数学技巧!既然有了实验数据,便可以利用内插法,“造”出一个整个频率范围内通用的数学公式来,将两条不同的曲线融合成一条!磕磕巴巴地玩了几年,他居然成功了,普朗克得到了一个完整描述黑体辐射谱R0(λ,T)的公式(λ为辐射波长,T为温度):

                               
登录/注册后可看大图
式中c是光速,C1、C2是待定参数。在一定的参数选择下,公式与黑体辐射实验数据符合得很好。

量子小妖精,开辟新天地
普朗克当然不会满足这种内插法带来的表面符合,他追求的是更深一层的“所以然”!做物理多年的思维方法告诉他:新曲线与实验如此吻合,背后一定有它目前不为人知的逻辑道理。他并不认为他正在敲击一扇通往新天地的大门,而是虔诚地相信,自然界的规律是可知的,科学将引导人们解释它。

虔诚的科学信徒,只是虔诚地沿着科学指引的道路走下去,非功非利,如此而已!

不过,他走着走着,时而兴奋,又时而迷惑。兴奋的是,他发现有一种物理解释可以使他用理论推导出那条正确的曲线!真是太好了,不需要用实验数据进行“内插”,而是纯粹从理论,便可以推导出一个与实验一致的结果。
但是,这种物理解释使他迷惑,因为需要将黑体空腔器壁上的原子谐振子的能量,还有这些谐振子与腔内电磁波交换的能量,都解释成一份一份的。简单地用现在的物理术语说,就是黑体辐射的能量不是连续的,而是“量子化”的。
如果有了这个量子化假设,原来连续分配的能量方案就需要修改为量子化的分配方案,修改方案时需要用到波尔兹曼的统计力学,来重新推导量子化后能量分布的统计规律。
普朗克虽然专攻热力学,对熵和热力学第二定律有其独特不凡的见解,但却不知何故,他十分讨厌波尔兹曼的统计力学方法。唉,为了导出能量量子化之后的辐射规律,普朗克就只好咬咬牙齿,抛弃成见,应用这种方法了。不过,统计力学很是争气,帮助普朗克在几个月内便推导出了十分完美的结果,令他开心不已。
最后,公式(1)中的两个参数C1、C2,变换成了另外两个参数:k和h。k是大家熟知的波尔兹曼常数,那h是什么呢? 总之,与对待参数C1、C2类似的方法,普朗克用从量子化理论推导的公式,拟合当时颇为精确的黑体辐射实验数据,得到h=6.55×10-34J·s,玻尔兹曼常数k=1.346×10-23J/K。这两个数值与现代值分别相差1%和2.5%。基于100多年之前的理论推导和测量技术,这已经可以算是够精确了。
那一年正是1900年,著名物理学家开尔文男爵发表了他的著名演讲,提到物理学阳光灿烂的天空中漂浮着的“两朵小乌云”,黑体辐射是其中之一。
当时的普朗克对新常数,也就是之后被人们称为“普朗克常数”的h不甚了解。尽管不希望承认量子化能量的概念,但他心想:如此一个小量,难道会是一个妖精吗?
42岁的普朗克,天性平和保守,反对怀疑和冒险,但这次面对了一个两难局面。他战战兢兢地抬头望天,身边放着他完成了的论文,就像是童话故事中潘多拉的魔法盒子!这里面藏着的小妖精该不该放出来呢?也许它能解决经典物理中的某些问题,驱除乌云,恢复蓝天!也许它将如同石头缝里蹦出的孙猴子,挥动金箍棒,将世界扰得个地覆天翻!
普朗克不愿意释放一个怪物出来扰乱世界,但又不甘心将自己斗争了6年的科学成果束之高阁。妖精总是要出来的,天意不可违啊。最后,普朗克决定不惜任何代价孤注一掷。1900年12月4日,普朗克在柏林科学院报告了他的黑体辐射研究成果,这个日子后来被定为量子力学之诞辰。从此之后,魔盒被打开,标志着量子力学范畴的这个小精灵(h)就此诞生了。
其实在当时,普朗克的报告并未引起广泛的注意,人们的思维具有惯性效应,总会产生时间延迟,科学家群体也难免。但只有普朗克自己,被自己释放出来的小妖精扰得诚惶诚恐、坐卧不安。他在提出量子论之后的多年,竟然都在尝试推翻这一理论。世界应该是连续的啊,怎么会像楼梯那样一格一格地跳呢?莱布尼兹就说过,“自然界无跳跃”。普朗克也如此认为,因此,他总想不用量子化的假设,也得到同样的结果来解释黑体辐射。
妖怪放出来了,又想把它压回去关起来,谈何容易!普朗克努力多年未果,最后只好承认妖精的存在,也对一般的科学质疑发表了几句似是而非的话语:
要接受一个新的科学真理,并不用说服它的反对者,而是等到反对者们都相继死去,新的一代从一开始便清楚地明白这一真理。

                               
登录/注册后可看大图
普朗克常数h引出的量子故事还长着呢,我们暂且打住,回到量子之父其人。

悲情殉道者,晚年自唏嘘
普朗克幸福的家庭,就像他的经典物理信仰一样,在两次战争中崩塌。

普朗克的妻子于1909年去世,他的长子在战场战死,两个女儿战争期间死于难产。他的二儿子埃尔文被卷入到刺杀希特勒的事件中,因此被纳粹投入监狱。普朗克曾经上书希特勒,却也未能救出他的儿子——埃尔文于1945年被处以绞刑。
在普朗克87岁那年,他位于柏林的家在一次空袭中被摧毁,他的藏书和许多研究成果都没有了……
到剑桥参加牛顿诞辰300年纪念会后的第二年,普朗克在哥廷根逝世。
他的墓碑恐怕比谁的都要简单:一块长方形的石板,上方刻着“MAX PLANCK”。
最底部粗看像花纹,细看才发现,图案中间刻着一串数字:h=6.62·10-34W·s2。那是普朗克常数的近似值。他为人类科学作出的最大贡献,是释放了这个量子世界的小妖精!

                               
登录/注册后可看大图


大道至简 万物于弧
*滑动验证:
您需要登录后才可以回帖 登录 | 立即注册

本版积分规则

手机版|Archiver|小黑屋|国际弧学研究会    

GMT-7, 2025-12-18 04:33 , Processed in 0.586244 second(s), 23 queries .

Powered by Discuz! X3.1

© 2001-2013 Comsenz Inc.

快速回复 返回顶部 返回列表