设为首页收藏本站

弧论坛

 找回密码
 立即注册
搜索
热搜: 活动 交友 discuz
查看: 3366|回复: 0
打印 上一主题 下一主题

光子真是简单的无质量粒子吗?

[复制链接]

5917

主题

6625

帖子

7185

积分

坛主

Rank: 10Rank: 10Rank: 10

积分
7185
跳转到指定楼层
楼主
发表于 2019-11-17 15:23 | 只看该作者 回帖奖励 |倒序浏览 |阅读模式
光子真是简单的无质量粒子吗?| 贤说八道[color=rgba(0, 0, 0, 0.298)]

[color=rgba(0, 0, 0, 0.298)]From: [color=rgba(0, 0, 0, 0.298)]汪克林、曹则贤
返朴
[color=rgba(0, 0, 0, 0.298)]3 days ago


导读
在近代物理文献中,光子常常作为无质量粒子被提及。然而,光子同有质量粒子行为上有本质上的不同,从有质量粒子的物理学简单地令 m=0 不可能得到任何光子物理。光(子) 的能量-动量色散关系,速度之参照框架 (非) 依赖 (性) ,自旋与自旋投影等基本物理性质都完全不同于有质量粒子。光子与有质量粒子的玻色-爱因斯坦统计上的差别也不是粒子质量有无的问题。光子概念来自基于实验结果提出的光场之能量量子,光场量子化同有质量粒子能量的量子化采用了完全不同的方案。光场量子化是对不同光场模式直接引入产生和湮灭算符,不同模式的光场之间没有作用,谈论光子的位置没有意义,则光子的计数性—其与定域性有关—也就成了问题。严格考察关于光(子)性质的描述及其背后的物理图像,可作为进一步深入理解光 (子) 之本性的开始。


撰文 | 汪克林(中国科学技术大学基础物理中心理论物理教授、近代物理系教授(退休))、曹则贤(中国科学院物理研究所研究员)


1
引   子

光子这个概念源于1900年普朗克拟合黑体辐射谱引入的假设 Uν/hν 为整数,后来1905年爱因斯坦在解释光电效应的实验结果时进一步假设固体吸收光也是按照以能量量子 E= 为单位的方式进行的,1923年康普顿为解释X-射线的电子散射实验又引入了光具有动量量子 p=hν/c 的假设,这最终导致了化学家刘易斯 (Gilbert N. Lewis) 于1926年引入了光子(photon) 一词[1]。光子的概念沿用至今,并且在此过程中自然地形成了所谓光子是无质量粒子的说法,许多人对此也深信不疑。然而,我们稍加留心,就会发现这种说法大有值得商榷之处。光子在引入之初,是分别被赋予能量量子 E=hν 和动量量子 p=hν/c 的。如此赋予动量量子的理由来自光能量量子的表达式 E=hν 以及经典理论中光场的动量的概念 p=E/c ,也就是光场的能量-动量关系 (色散关系) E=pc 。这个能量-动量关系被光子直接继承了。在狭义相对论中,洛伦兹不变性要求有质量粒子的能量-动量关系为

E2=p2c2+m2c4                       (1)

若令 m=0 ,则从式(1)可得到 E=pc,这大概是所谓光子是无质量粒子说法的缘由。然而,必须指出,所谓光子的动量 p=hν/c ,在康普顿用来解决X-射线电子散射问题时就是经典动量,而在粒子的能量-动量关系式(1)中的p实际上是粒子动量4-矢量P=(p; E/c) 的前三个分量,它和粒子的经典动量 p=mν 差一个因子

                               
登录/注册后可看大图
,不可混为一谈!最重要的,在当今关于粒子的标准模型里,光子是来自局域U(1)规范对称性的、自旋为1的规范玻色子,它没有质量或者电荷 (without mass and without charge) 。注意,它不是质量为零、电荷为零,是没有质量、也没有电荷这些标签。光子有自旋标签。

作者基于近年来关于基础物理的思考,认为有必要认真检讨一下我们关于光子的一些认识是否反映了真实的物理内容,近代物理是否能为光子提供更加精确和严谨的图像。量子力学和相对论在发展时期其主角一直是电子和光 (子) ,然而,对量子力学和相对论的仔细体会会引导我们去思考电子与光子本质上的区别。比如,光子,确切地说是光场的量子,其与有质量的物质粒子之间的差别仅仅是有限质量和质量为零的差别吗?光子和电子一样有位置算符吗?再者,一般相对论文献中会谈到光速不变,意思是光速在任何参照框架中都是一样的。我们也可以问一个同光子是否简单地是无质量粒子类似的问题,光速是在不同参照框架内不变还是光速是一个没有参照框架 (referring to nothing) 的物理量[2]?这之间的不同会导致对基础物理的不同认识。就后续的量子光学实验来说,光子的可计数性以及实验上的具体实现也未曾建立起坚实的概念基础。这些都是本文要讨论的内容。

2
经典物理中的物质粒子与光场

在经典物理中,物质粒子与光场有着完全不同的物理内涵。为了更清楚地理解此处关切的问题,不妨先回顾一下经典物理框架下的相关描述。有质量的物质粒子具有有限体积和有限质量。当有限体积效应可以忽略时,可引入点粒子的概念,体系的质量以及电荷等称为荷的内容集中于一个几何点上。粒子的所有物理量亦定域在该点上。点粒子的运动由动力学方程,即牛顿第二定律,

F=ma,                           (2)

描述。反观光场,其是由麦克斯韦方程组描述的。与物质不同,光场不具有存在于有限体积内进而可理想化为几何点这一基本特点。电场和磁场是场,要点在于其是空间中的分布,未来引入电磁势4-矢量的概念还会带来规范场论,其与物质粒子的区别就更明显了。真空中电磁场的动力学由麦克斯韦方程组描述,


                               
登录/注册后可看大图
                           

                               
登录/注册后可看大图
                        (3)

                               
登录/注册后可看大图
                           

                               
登录/注册后可看大图
                           

进一步地,引入洛伦兹 (Ludvig Lorenz) 规范,可导出真空中电磁场满足的波动方程


                               
登录/注册后可看大图
                    (4)

光是电磁波,以及光速具有不变性,时空满足洛伦兹 (Hendrik Antoon Lorentz) 变换,等等,都与方程(4)有关。

3
电磁场及有质量粒子的量子力学

或许我们可以以为,从经典物理过渡到量子理论框架,物质粒子和光场量子化得来的光子都具有波粒二象性。这种想法过于想当然了。为了说清楚问题,让我们先回顾关于有质量粒子(能量) 的和关于电磁场的量子化方案。

在经典物理中,粒子有两个基本力学量,位置和动量。在正则量子化方案中,记住从玻尔(1913) 到薛定谔 (1926) 的量子化努力针对的都是电子能量的分立性问题,位置和动量被当成了算符,量子化条件即为它们之间的对易关系


                               
登录/注册后可看大图
                              (5)

反观光场 (电磁场) 的量子化方案, 其由狄拉克于1927年提出,是以经典的麦克斯韦理论作为出发点的[3]。将电磁势表示为


                               
登录/注册后可看大图
  (6)

然后引入替换

                               
登录/注册后可看大图

                               
登录/注册后可看大图
就算达成了量子化,即对场的每一个模式,引入一对正则算符   

                               
登录/注册后可看大图
,满足对易关系


                               
登录/注册后可看大图
                    (7)

而不同模式间的算符是对易的、相互独立的。在这个量子化过程中,对波场还用到了周期性边界条件[4]。二项式

                               
登录/注册后可看大图
被诠释为粒子数算符,它出现于哈密顿量的表示中。


                               
登录/注册后可看大图


上述的光场量子化方案的一个重要的结论是, 如T. D. Newton和E.P. Wigner曾指出的那样,光子不存在定域性[5]。确切地说, 光子不具有位置表象的波函数。J. E. Sipe曾提出了一个光子波函数[6],不过他特别强调,他提出的光子波函数没有物质粒子那样的几率诠释,而只是表征光场能量的空间几率分布,与薛定谔、泡利和狄拉克各自关于电子的量子力学方程里的波函数不可同日而语。J. E. Sipe的光子波函数为


                               
登录/注册后可看大图
            (8)

因此光场的哈密顿量可表为


                               
登录/注册后可看大图
                       (9)

对有质量粒子,波函数就是其在空间存在的几率幅,它是该体系存在的所有物理量的载体。所有物理量的几率分布都可以由

                               
登录/注册后可看大图
表达。例如,粒子质量的空间几率密度为

                               
登录/注册后可看大图
,电荷的空间几率密度为

                               
登录/注册后可看大图
,动量的几率分布为

                               
登录/注册后可看大图
,等等。即便如粒子自旋这样的内部自由度,没有同体积相关的内容,通过相应地设定多分量的波函数,也有如下的表示

                               
登录/注册后可看大图
。但是, 光子波函数却不具有这样的性质。例如,如果要谈论光场中电场、磁场的空间分布,就不能得到物质粒子情形下那样的波函数表示,对于光场的动量 (坡印廷矢量) 亦不能得到类似的表示。由此可见,就波函数的意义而论,物质粒子与光子两者有本质上的区别。

4
光子的可计数性

对于有质量粒子,可计数性是一个容易辨明的问题。对于有质量粒子,如何从量子力学的意义上区分两个粒子构成的系统与波函数被归一化 (normalized) 为2的单粒子系统呢?这个问题可从两个方面来看。其一,就按照

                               
登录/注册后可看大图

                               
登录/注册后可看大图
计算质量、电荷这类物理量来说,虽然对于两个粒子组成的系统和波函数归一为2的单粒子系统,结果都为2,但可能还存在其它性质可以区分这两种情形,比如还存在其它的某种荷 (轻子数,重子数,…),对前者的结果为2而对后者可能只为1。再者,比如对于电子这样的自旋1/2的粒子,前者的波函数同后一种情形有更根本性的不同。前者对应的总自旋应为0或1,而后者对应的自旋只应该是1/2。其二,物质粒子间一般是有相互作用的。两粒子体系会因为相互作用引入其它内容,故不会混同于波函数归一于2的单粒子体系。量子理论中物质粒子的可计数性是没有问题的。


                               
登录/注册后可看大图


与此相对,光场唯一的可计数物理量是量子化的能量,这也是光子概念的由来。普朗克诠释的黑体辐射和爱因斯坦诠释的光电效应中表现出来的光场能量之增减,具有量子化的表现,具体地就是在讨论原子或其它物理系统能级跃迁时的 类似“放出或吸收一个光子或两个光子”这样的描述。除此之外,纵观其它的各种光的物理规律和现象,不再能找到光子可以清晰计数的例子。如前所述,若光子之间有某种相互作用,计数便有了依据。然而不同模式的光场之间没有相互作用。如果存在其它的某种荷,计及荷的总量,则计数也有可行的基础,但光场也不具备这种性质。当然,我们注意到光子具有自旋为1的性质,它能沿动量方向投影为+1和-1 (这与电子系统当总自旋为1时,其投影可为1, 0, -1 不同) 。对此,J. E. Sipe曾指出:“引进自旋和轨道角动量在光场中是非物理的,只有螺旋性(helicity)在光场中才有意义”[6]。事实上,若光子具有为1的自旋,则根据关于自旋可加性的那套规则, 必会带来多光子体系会有总自旋为2,3,…的状态,但实际上没有这样的光子多体理论。这里的根本原因仍在于,没有单光子在空间中切实存在的物理现实。


                               
登录/注册后可看大图


5
有质量粒子与光子的互补性比较

前面分析了物质粒子与光 (子) 系统本质上的一些不同。我们也注意到,两个不同层次的量子化都引入了一个共同的物理内容,那就是互补性原理。每一个自由度都具有一对正则坐标和正则动量算符,它们满足一定的对易关系。记正则坐标为Q,正则动量为P,对易关系为


                               
登录/注册后可看大图
                               (10)

依据这一对易关系又延伸出不确定关系来。对于该物理系统的任意一个状态,以下不等式成立,


                               
登录/注册后可看大图
            (11)

其中的不确定度定义为算符的均方差。

对易关系(10)对应傅里叶变换的数学,所谓不确定性所对应的数学关系很早之前就得到了,它不具有特别的意义,或者说它需要我们专门在量子力学语境下赋予其某些物理意义。物理系统在量子理论的框架下,具有互补性和相应的不确定性关系,这是量子化条件带来的结果。但是,物质粒子与光子系统各自的互补性和不确定性关系却有不同的物理含义。这是本文特别想强调的一点。先讨论物质粒子的互补性及不确定关系。为简单计,只考虑一维情形为例。一维粒子系统的正则坐标算符就是粒子的位置算符x,正则动量算符就是粒子的动量算符p,两者的对易关系如(5)式, 则根据 (10)-(11)式,不确定关系为


                               
登录/注册后可看大图
                       (12)

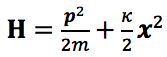
为了同采用产生、湮灭算符的光子量子化问题对照着加以讨论,不妨以严格可解的一维谐振子模型作为有质量粒子体系的例子。这一系统的哈密顿量为


                               
登录/注册后可看大图
                       (13)

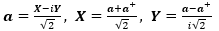
从前在解这一问题时停留在位置表象中,即求解该系统的能量本征态的完备集,数学推演比较繁复。后来人们发现, 如果作如下算符变换


                               
登录/注册后可看大图
                        

                               
登录/注册后可看大图
                  (14)

逆变换为

                               
登录/注册后可看大图
                    

                               
登录/注册后可看大图
              (15)

其中

                               
登录/注册后可看大图
,对易关系(5)式对应aa+ 满足如下的对易关系


                               
登录/注册后可看大图
                     (16)

将变换(14)代入(13)式,并应用(16)式的对易关系,便可将H对角化为 H=(a+a+1)ћω,可得到系统量子化的能量谱。可以将 (a, a+) 看作能体现物理系统互补性的、与 (x, p) 等价的一对正则变量算符。

光场量子化是通过将(6)式中的光场模式振幅

                               
登录/注册后可看大图

                               
登录/注册后可看大图
作替换和

                               
登录/注册后可看大图
完成的,算符

                               
登录/注册后可看大图

                               
登录/注册后可看大图
的对易关系由(7)式表示。形式上,与对易关系(5)或者来自谐振子模型的对易关系(16)一样,算符对

                               
登录/注册后可看大图
  , 就是一对正则变量算符,也意味着光场有源自量子化的互补性。为了更清楚地理解这点,可仿照(14),(15)式引入变换


                               
登录/注册后可看大图
            (17)

                               
登录/注册后可看大图
                  

和逆变换      


                               
登录/注册后可看大图
        (18)

                               
登录/注册后可看大图
            

其中δ1和δ2分别为具有长度量纲和动量量纲的实参数,引入这两者是因为

                               
登录/注册后可看大图

                               
登录/注册后可看大图
是无量纲量。根据

                               
登录/注册后可看大图

                               
登录/注册后可看大图
的对易关系式(7),可知Q(k, l)和P(k, l)的对易关系为  


                               
登录/注册后可看大图
            (19)

因此,光场量子化和其它的物理系统一样具有一对广义的正则动量算符和广义的正则坐标算符。对易关系(19)式表明量子化的光场同样体现了互补性,同样有不确定关系如下


                               
登录/注册后可看大图
            (20)

至此我们可以看出, 有质量粒子和光场有相同的正则量子化叙事,但是前者是自坐标-动量算符对引入的湮灭-产生算符对,而后者的顺序恰恰相反。笔者意识到,这恰恰是关键问题所在。一个自然的问题是,光子和物质粒子一样有动量-位置不确定关系吗?或者说,变换(17)式引入的算符Q(k, l)和P(k, l)分别对应光子的位置和动量这两个物理量吗?

关于算符Q(k, l)和P(k, l)是否可分别理解为光子的位置和动量这两个物理量,文献[4]的1.3节有相关内容的论述。对于平面电磁波场,


                               
登录/注册后可看大图
            (21)

                               
登录/注册后可看大图
               

振幅E0是一个复数,故E0具有可用干涉仪来测量的相位,由此可得到E0的实部和虚部,零差测量技术可直接给出这一对正则物理量。在量子理论中,E0被代之以非厄米的湮灭算符a. 我们可以定义两个厄米算符XY如下,


                               
登录/注册后可看大图
           (22)

并有

                               
登录/注册后可看大图
                       (23)

显然, (23)式同物质粒子坐标和动量算符之间的对易关系(5)相似。但是,算符X不应与光子的位置混淆不过,由对易关系式(23), 可以将Y表示成

                               
登录/注册后可看大图
,这样可在正则对空间中写出Fock态的表达式


                               
登录/注册后可看大图
        (24)

其中Hn(x)是n阶的厄米多项式。对于这样的Fock态,直接计算可得

                               
登录/注册后可看大图
,故有

                               
登录/注册后可看大图
,满足所谓的海森堡不确定性原理。
顺便说一句,注意对于这里的共轭算符对,一者方差增加,另一个的方差也增加,没有对一个的测量越精确另一个的不确定性就必然越大这种流传已久的荒唐事。

“正则算符对明显地载有场的依赖于相位的讯息,并在表征和检测场的压缩态中起到重要作用。” 然而,这里的正则算符只是和光场的振幅及相位有关的量,不具有位置或动量的物理含义。文献[7]讨论光场的实验检测, 也强调测量是关于电磁场物理量的检测,谈不上是关于光子位置和动量的检测。光学实验中,将光电倍增管狭缝的位置作为光子的位置,或者将光-固体作用后留下的微纳米尺度的斑点作为光子的位置,都是手动强加 (put in by hand)的位置信息,是没有理论支撑的。建立于其上的就双缝干涉得来的关于光子量子性的讨论,有认真推敲的必要。对光子的认识之旅,我们也许还只是处于开始的阶段。

6
玻色-爱因斯坦统计与光子的可计数性

可计数性是数学得以建立的基础概念。孤立出待研究的体系,对近似相同的分立体系计数也是物理得以建立的前提。光子的可计数性应该作为一个问题严肃地加以对待。

光子概念的内涵还一直是光的能量量子,光具有粒子性,不意味着光子可以与有质量粒子相混同。有人或许会反驳道,我们已经有了光子的统计规律,统计规律的推导过程应该以光子可数为前提啊?这里可能存在误解,应借助概念的历史演化予以消解。

建立在可数统计上的光子统计规律,并未保证有可操作的光子的计数。实际上,玻色得到黑体辐射公式的第三种推导,推导过程中是把光的能量量子放到相空间的单胞 (cell) 里的,而单胞的数目是用体系的相空间体积除以得到的。关于这个做法,用玻色的原话说,是没啥好说的[8]。笔者之一曹则贤注意到,这实际上是因为用光的能量-动量关系写出相空间的体积元时恰好含有因子,除以这个因子得到一个可当作数目的无量纲量而已。玻色的这个推导过程没用到光子的可计数性。玻色的结果引出的一个结论不是光子质量为零,而是光子的化学势为零。爱因斯坦根据玻色的启发,紧接着得到了单原子理想气体的、类似光的统计规律[9, 10],但他只是用了有质量粒子的能量-动量色散关系而已, 而且是非相对论性的能量-动量关系。玻色-爱因斯坦统计之于一般有质量粒子和光子在表达上的不同,区别不是粒子质量的有无问题。也就是说,即便在玻色-爱因斯坦统计的语境中,把光子当作零质量粒子也得不到关于光子的物理规律。顺便说一句,统计之分为玻色-爱因斯坦统计和费米-狄拉克统计,针对的是粒子的自旋而非质量。

7
相对论语境中光的特殊性

有趣的是,在相对论的语境中,光同物质粒子同样是要区别对待的。光速不变是爱因斯坦作为其建立狭义相对论的一个公设使用的,当然后来人们认识到光速不是变不变的问题—不存在关于如何改变光速的动力学。

现在接受的表述是,光速在任何参照框架内都取同样的值,即我们选取同一个 c 用于参照框架下的时空坐标表示 (x, y, z ; ct)。然而,若我们仔细检视一番,会发现光速与粒子速度从概念上就有根本的不同。物质粒子速度是矢量,依赖于参照框架,有决定其如何变化的动力学。反观光速,在狭义相对论的时空坐标表示 (x, y, z ; ct)中它就是一个参数,不具有矢量的性质,这当然是继承自其在麦克斯韦波动方程里的角色,一个参数,纯粹的标量。更重要的是,在麦克斯韦理论中,

                               
登录/注册后可看大图
,来自两个独立的物理常数,在此语境中根本没有引入参照框架的缘由。也就是说,
不是光速是一个不依赖于参照框架的常量,而是针对光就没有参照框架一说。其实,这可能恰恰映照了这样的事实,对于场这种全局性的概念,本没有参照框架的存在理由[2]光速是嵌入有质量粒子的动力学理论的一个常数,令m=0不能得到关于光的任何行为。

8
结   语

考察量子力学、相对论和统计力学中关于光场的处理方式,以及光子概念的由来和应用,我们有理由认为类似“光子是无质量的粒子”这样的表述是不确切的。

光子的概念一直是作为能量量子出现的,光子的可计数性缺乏物理现实的和物理理论的支持。谈论光子的位置是没有意义的,更不用说光子的位置-动量不确定性关系了。

虽然,普朗克和爱因斯坦用光子的概念解释黑体辐射和光电效应时,心目中的确是把光子当作可计数粒子看待的,但那可以理解为在量子理论发轫之初的经典物理概念的惯性使然。等到关于光 (子) 和其它粒子的更多认识逐步建立起来,光子当作可计数的粒子,尤其是当作无质量粒子,就更显得失于偏颇了。基于光子可计数性的物理实验有谨慎检讨的必要。

此外,就相对论而言,光没有参照框架,没有关于光速改变的动力学;就统计物理而言,光的统计同有质量粒子的玻色-爱因斯坦统计之间的差别也不是光子质量为零的问题。

注意到这些关于光 (子) 性质的严格描述和背后的严格物理图像,可作为我们进一步深入理解光 (子) 的开始。

本文首发于《物理》2019年第11期。

参考文献
[1] G. N. Lewis, The conservation of photons, Nature 118, 874 (1926).
[2] 曹则贤, 相对论-少年版,科学出版社(2019).
[3] P. A. M. Dirac, The quantum theory of the emission and absorption of radiation, Proc. Roy. Soc. London A 114, 243 (1927).
[4] Girish S. Agarwal, Quantum optics, Cambridge University Press (2013).
[5] T. D. Newton and E.P. Wigner, Localized states for elementary systems, Rev. Mod. Phys. 21, 400(1949).
[6] J. E. Sipe, Photon wave functions, Phys. Rev. A 52, 1875(1995).
[7] Marlan O. Scully,M. Suhail Zubair, Quantum Optics, Cambridge University Press (1997).
[8] S. N. Bose, Plancks Gesetz und Lichtquantenhypothese, Z. Phys. 26, 178-181(1924).
[9] Albert Einstein, Quantentheorie des einatomigen idealen Gases, Sitz. Ber. d. Berl. Akad. 261-267(1924).
[10] Albert Einstein, Quantentheorie des einatomigen idealen Gases, Sitz. Ber. d. Berl. Akad. 3–14 (1925).


大道至简 万物于弧
*滑动验证:
您需要登录后才可以回帖 登录 | 立即注册

本版积分规则

手机版|Archiver|小黑屋|国际弧学研究会    

GMT-7, 2025-11-2 19:30 , Processed in 0.617809 second(s), 22 queries .

Powered by Discuz! X3.1

© 2001-2013 Comsenz Inc.

快速回复 返回顶部 返回列表