设为首页收藏本站

弧论坛

 找回密码
 立即注册
搜索
热搜: 活动 交友 discuz
查看: 3706|回复: 0
打印 上一主题 下一主题

数学巨擘高斯:对永恒的信念指引他不断创造

[复制链接]

5919

主题

6627

帖子

7187

积分

坛主

Rank: 10Rank: 10Rank: 10

积分
7187
跳转到指定楼层
楼主
发表于 2019-12-24 00:10 | 只看该作者 回帖奖励 |倒序浏览 |阅读模式
数学巨擘高斯:对永恒的信念指引他不断创造[color=rgba(0, 0, 0, 0.298)]

[color=rgba(0, 0, 0, 0.298)]From:
[color=rgba(0, 0, 0, 0.298)]颜一清
返朴
[color=rgba(0, 0, 0, 0.298)]Today
[color=rgba(0, 0, 0, 0.298)]

在《数学巨擘高斯: 从贫穷人家的神童到“数学之王”》中,我们看到了天才高斯一步步成为“数学之王”的历程。君临学术界的高斯在面对数学中的大问题,如欧几里得平行公设与费马大定理时,他的态度是怎样的,他做了哪些研究?是什么样的人生信念指引他在数学世界里不断创造,写作出简洁而丰实的著作?

撰文 ∣ 颜一清(台湾辅仁大学数学系)

与韦伯合作
1828年高斯赴柏林参加学术会议住洪堡家,在那里他认识了当时当 Halle 大学讲师的威廉·韦伯( Wilhelm Weber,1804-1890 。洪堡鼓励高斯作地磁气的研究。 这一年高斯升任哥廷根大学正教授。
1831年因高斯的推荐,韦伯被聘为哥廷根大学物理学教授。当年高斯54岁,韦伯27岁。此后除了1843-1849年间待在莱比锡外,韦伯一直在哥廷根。高斯与韦伯开始合作。 起先韦伯只是高斯熟练的帮手,后来韦伯的独立性与重要性日增,他最高的成就在于1846年的电力学测定。
1832年高斯写了有关磁气测定绝对单位的论文。 在这里,数学家高斯又成为“测定物理学”的立法者了。
高斯与韦伯合作,发明了电磁式电信机 。 他们在天文台与物理研究所之间装置接送机互通讯息。1834年他们在天文台附近建造了一所磁气观测所。 他们在 1840年共著《地磁气地图》(莱比锡出版),奠定了位势论的基础。
到此高斯在应用数学的研究到达了他生涯中的顶点。 但是他成就的核心与基盘还是在他投入了青春的纯数学上。 他专注的领域是算学、代数与解析学。


十一孩子们

高斯的大女儿 Wilhelmine (昵称 Minna)长大后相貌神似她母亲,个性却像高斯。 她是高斯最钟爱的孩子。 她照料祖母、生病的继母和弟妹,并与出外工作的父亲通信。
1830年9月15日Minna与哥廷根大学神学与东方语言教授 Heinrich August von Ewald(1803-1875)结婚。Ewald年轻时就已经是杰出的学者,人品好,但非常心不在焉。高斯对他这位女婿很满意。Minna婚后不久罹患肺病,没生孩子。 不过Minna与Ewald过了很幸福的婚姻生活。
高斯的第三子Eugene在数学与语文方面承继了父亲的能力,但是他叛逆性强,性格又暴燥。 本来Eugene上大学时想念语言学,做父亲的却用他的权威硬压制下来。Eugene“听劝”念法律系。但是他进校后猛赌牌、酗酒,所欠的债当然由老子偿还。在高斯怒斥之下Eugene不带一物,不告而别。高斯托舒马赫在Eugeine可能去的汉堡寻找。 终于在不来梅找到Eugene。高斯带行李与钱赶到不来梅 Olbers 家。在那里父子生别了。1830年12月 Eugene 买棹赴纽约。他的行径伤透了病中的 Minna 夫人的心。她自从生完三个孩子后常常生病,还带些忧郁症,又很在乎高斯对她的观感。孩子们的事也让她不顺遂。Eugene难惹, 她的第二子 Willhelm 比较温顺,喜欢务农,但去过几处实习,都不能适应。后来总算在波茨坦做了两年生意。
长病的 Minna 夫人在1831年9月12日去世了, 遗言Eugene的行为改好才能得到他份内的遗产。Minna夫人过世并没有打垮高斯。 他羽毛已丰,有学术与社会地位,孩子们也已长成。家事改由小女儿 Therese 主持。母亲 Dorothea 还健在,使高斯比较内省,会回想到他的已往,也就常对访客谈及他的儿时。但是他的人变得弧僻。他心中不快活,觉得没有什么好再奋斗的了,对待一些年轻同行也就冷峻起来。 为了贝瑟尔没有来信吊问 Minna 夫人的亡故,高斯生气与 贝瑟尔断绝通信。 多年后他们又恢复写信,但是彼此间已经有一层隔阂了。
两个儿子Eugene与Wilhelm的问题使高斯没辙,常常与他的学生兼朋友C.L. Gerling商量。 总算在1837年 Wilhelm娶了贝瑟尔的侄女,并在同年与新娘子移民美国,以实现他经营农场的梦。小舅子也同行。这回Wilhelm夫妇得到了高斯的祝福,不过他们的行程也让高斯担忧了好几个月。


十二非欧几何学
有关欧几里得的平行公设(parallel postulate)早在纪元二世纪托勒密(Claudius Ptolemy,ca. 85-ca. 165)就置疑了。 他想把它从公设中挪开而没有成功。过后历代都有一些人尝试这个问题。直到十九世纪这个问题的研究成为一种时尚。高斯与他的朋友Bolyai就透过这个问题的讨论加深了彼此间的友谊。高斯也一直断断续续地研究平行公设。在1799年9月的日记中他写:“在几何学的原理上我得到了很好的进展。” 在1846年10月2日高斯给 Gerling 的信中说:“在没有平行公设的几何学上,多边形的面积与其外角和减去360°成正比。它应该是这个理论上的第一个定理,也是出发点。我早在1794年就得到这个理论。”
Wolfgang Bolyai 自1799年回去故乡特兰西瓦尼亚(Transylvania)到1804年他当上 Maros Vásárhely 的数学与物理教授之前把数学搁置了一阵子。过后他又持续他当年做的平行公设研究。1804年9月16日他把所得结果寄给高斯。11月25日高斯给他回信,赞赏 Bolyai 所下的工夫, Bolyai 得到的结果有些与高斯的相似,但是它并没有完全解决了问题。高斯又说,他打算有生之年突破这个问题的难关,不过目前他忙其他事,无法贯注在它上面。如果 Bolyai 能够克服障碍解决问题,高斯很乐意让给好朋友优先发现者的荣誉,并设法让世人知晓。
Bolyai 受到这封信的鼓励,1808年12月27日又寄补遗给高斯,但是没有收到回音。他们之间的通讯就间断到1816年。
1816年 Bolyai又写信给高斯说:想把儿子Janus 送到哥廷根高斯那里,先当学徒后念书。但也没有得到回函。这期间Bolyai又在平行公设上投入了好多精力而无结果。
Walfgang Bolyai 的儿子Janus小时候从他父亲受教育,他学习迅速,十三岁时父亲生病他都可以代课了。他又继承了他父亲对第五公设的狂热,他简直被平行公设迷住了!1818年Janus在念维也纳的陆军技术学院,并在1820年写信告诉父亲他在尝试平行公设的研究。做父亲的得悉后大吃一惊,去信劝儿子:“连一个时刻都不要用在这个问题上,它不能给你任何结果,反而会毒害你整个人生。它会剥夺你的闲暇、你的健康、你的休息、你生命中的一切幸福。 这个暗黑的无底深渊可能会吞噬千万个牛顿般的人物,它不可能在这个地面上见到光。”
可是Janus没有听进父亲的忠告,反而更加努力去研究。1823年11月3日他开始感觉到胜利的滋味,他告诉父亲:“从‘无’中我创造出新世界来。”他所得结果便是高斯在长期的疑惑与犹疑后在1816年达成的。高斯在1816年的书评中发表说,证明平行公设是不可能的事。他为这遭受到严苛的批评。因此他决定在他有生之年不再发表有关平行公设的任何意见。
不久高斯发现一名法律学家 F. C. Schweicart (1780-1859) 在1812-1816年间不借助于第五公设开发“天界几何学”,他给高斯他的“天界大小的理论”的简稿,征求高斯的意见。高斯回答:他写的全部彷佛是借高斯的笔写成的一样。高斯又说,空间存在于我们的外部。它的原则不能预先记述。它的性质该用实验为基础才能完全确定。
Schweicart 有外甥 F.A.Taurinus(1794-1874),他也是一名法律学家,因舅父的书给他刺激,他从年轻时就投入平行公设的研究。1824年10月Taurinus寄给高斯他的实验式的证明。 同年11月8日高斯给他长信。请他保密信的内容。信中说:“三角形内角和小于180°的假设会引导我们到特别的几何学,它里面不会有矛盾产生。我开发这种几何学到很满意的程度,除了一例外我全部可以解决有关它的问题。这个例外便是定数的决定,而它是不能预见的。这个定数取得越大,越接近于欧氏几何学,取无限大值则两者一致……” (注:这个定数便定为

                               
登录/注册后可看大图
,K:高斯曲率) Taurius受到鼓舞,1825年写出《并行线的理论》, 1826年写《几何学的主要要件》寄给高斯。 两书序文中都提到高斯。高斯不再理睬他,这些书也就默默无闻了。
1825年Janus开始写他的论文。 他的父亲告诉他:“如果你真的成功地解决了有关平行公设的问题,有两个理由你得赶紧发表它。一则,观念很容易传开,别人可能也会发表它。 二则,如预言会同时在数处出现,春天里紫罗兰会到处开花一般, 许多事会同时发生,所以你要抢先公开它。”
Janus的《绝对几何学》以附录的形式出现在他父亲写的教科书《Tentamen》中(“Appendix scientiam spatii absolute veram exhibens” 1831年6月出版)
1831年 Walfgang Bolyai 把书与信分别寄给高斯。高斯收到了信,书因霍乱的蔓延无法寄达而被折回。高斯在1832年2月从朋友处拿到了这本书。
1832年3月6日高斯给 Walfgang 信说:Janus 的结果与高斯的结果非常一致,令他很惊讶。 不过他不便称赞 Janus, 因为这么做等于称赞他自己。 他向年轻的几何学家 Janus 表示十分的敬佩之意,并给他一个问题:如何求出非欧几何学里面一个四面体的体积? (后来两人都做出这个问题)
Walfgang对于高斯的回信内容相当地满意。但是Janus却非常失望并愤恨不平:高斯不给他公开的认定,还说在发明上他有优先权!
其实俄国数学家罗巴切夫斯基(Nikolai Ivanovich Lobachevsky,1793-1856)早在1829-1830年间在 Kasan 大学学报 Kasan Messenger 发表他的《虚数几何学》(非欧几何学)了。罗巴切夫斯基在1815-1816年间开始在 Kasan 大学教几何学时还试图证明平行公设。后来他逐渐习惯于不可能证出平行公设的事实,从而发展出无平行公设存在的几何学,并把研究结果在Kasan科学学会(1826年2月12日)上提出。 一直到1830年它才被刊载出来。
但是罗巴切夫斯基的论文并没有引起西欧人士注目,他于是在1837年用法文把他的《虚数几何学》的摘要发表在 Crelle Journal XVII (pp.295-320)上。1835-1838年间他又写出有关的研究论文。
Janus Bolyai 得知罗巴切夫斯基也做出非欧几何学后以为这是高斯搞出来的一种花样,更加生气,又气馁,就不再研究他的“美丽新世界”了。从此他跟父亲Walfgang也疏远起来,还从军职退下,过他的荒唐生活至死 ,最后甚至于连他自己的肖像都用佩剑刺破,悉数毁掉 [1]
高斯一直到1840年才知道罗巴切夫斯基做出非欧几何学来,为了要好好念原文,高斯还特地重学了俄文,并在1842年选聘罗巴切夫斯基为哥廷根皇家科学会通讯员


十三费马最后的定理
法国科学院曾经在1816-1818年间悬赏征求费马大定理 xn + yn = zn,n ∈ N 的证明或反证明。Olbers写信给高斯,怂恿他做这个问题。高斯回答说,他感激 Olbers 告诉他件事,不过他对它不感兴趣。事实上他也很容易做出一连串这一类孤立而没有应用价值,且使人难解的问题来。但是他认为这对往后数论的发展并没有多大益处。
实际上高斯证过 x3 + y3 + z3 = 0 无整数解,即费马最后的定理当n=3的情形。 他在另一篇文章上也证过这个定理当n = 5的情形,但是没有再做下去。

椭圆函数
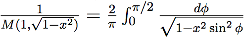
高斯在早年(1791)就玩算术几何平均数的游戏,即:给定 a = a0 > b = b0 >0 令,an=

                               
登录/注册后可看大图
,bn=

                               
登录/注册后可看大图
,则{an} {bn}趋近于同一极限值 M(a, b)。则完全椭圆积分
(椭圆的周长算法)

                               
登录/注册后可看大图
,且

                               
登录/注册后可看大图

高斯又导出双纽线 (lemniscate) (x2 + y2) 2= a2 (x2 − y2) 的弧长算式 y =

                               
登录/注册后可看大图
,为椭圆积分。
它的逆函数高斯以 y = sinlemn x 表示,称为x的双纽线正弦,而sinlemn x有二周期2ω,2ωi,

                               
登录/注册后可看大图
(1795年5月)他又引进coslemn x等。
在1797年3月的日记中高斯记载他可以用直尺与圆规五等分, 甚至于n等分双纽线长。1800年高斯导出

                               
登录/注册后可看大图

                               
登录/注册后可看大图
,并且它满足一个二阶微分方程式。

从这些看得出高斯对椭圆函数是做过深入研究的。高斯可能有意把椭圆函数的全部理论完整地做出后再发表,否则不公开它。高斯所写有关椭圆积分的内容只有在他1818年发表的论文“Secular Perturbations”中可以见到。
多年后(1827年)挪威人尼尔斯·亨利克·阿贝尔(Niels Henrick Abel,1802-1829)与德国人雅可比( C. G. J. Jacobi,1804-1851)因高斯的《Disquisitiones Arithemetica》第七章335节中的提示而做出关于椭圆函数的友善的竞争性研究。对这高斯的态度是不闻不问的。
在1824年当年22岁的阿贝尔解出一般五次方程式的不可解性,而在奥斯陆自印成六页的小论文。他把论文寄给各国数学先进们,满怀希望得到他们一些善意的回应。 他也寄给高斯。但是他所得到的可靠消息是,高斯尖叫:“这里又出现怪物了!”就把阿贝尔的论文扔去一边。(参看《张寿武:数学中的无解之解》)
1825年8月底阿贝尔因他的一篇论文(后来遗失)得到挪威政府的奖金可往西欧游学一年。阿贝尔的最大愿望是拜访他尊崇的高斯。 但是高斯这个人既然遥不可及,阿贝尔便在9月取道丹麦,抱着痛苦的心情绕过高斯所在地哥廷根,到达柏林。在那里他侥幸地遇到A. L. Crelle(1780-1855)。Crelle是第一位在德国境内铺设铁路而发财的土木工程师。 他爱好数学,并有识别天才的洞察力。阿贝尔、斯坦纳(J.Steiner,1796-1867)、魏尔斯特拉斯(Karl Weierstrass,1815-1897)都因他识才替他们发表论文才得以出名。
Crelle 想办一份数学杂志,就向阿贝尔邀稿。阿贝尔便在1826年Crelle出资的数学季刊杂志Jaurnal r die reineund angewandte Mathematick(又简称 Crelle Journal(I)上发表了五篇论文。 该杂志第二册中有阿贝尔的椭圆函数双周期理论。
阿贝尔到了巴黎,那里的数学家们对他冷冷的,只是有礼貌而已 。 他寄给巴黎科学院的有关超越函数的巨著也被审稿者柯西( A. L. Cauchy,1789-1857)放置在家里失踪了。 这篇文章一直到阿贝尔贫病交迫死亡后几年,经挪威政府的抗议才寻找出来,终于在1841年见到天日 (法国科学院论文集第7卷pp.176-264)
1827年秋天阿贝尔在Crelle Journal上发表椭圆函数的论文。 数月后 (1828年3月30日)高斯给贝瑟尔信,说:“我无法完成自从1798年以来研究的椭圆函数,因为我有其他事得做。最近我发现阿贝尔已经完成了我的工作,他让我省去三分之一的劳力。他写得既优雅又清楚。写的方式又跟我神似到令我惊奇的地步。 不过他并没有抄袭我的研究,因为我从来没有跟任何人谈到它。”
1829年4月6日阿贝尔去世了,年方27岁。同年5月29日高斯给舒马赫信, 说:“阿贝尔的死对科学界是一大损失。我在报纸上都没有看到有关他的报导。如果你手中有这位特殊人物的生前数据,请告诉我。假使可能,我也想拥有他的肖像。”
这样看来,高斯对阿贝尔的印象并没阿贝尔所想象的那么差。
至于另一位椭圆函数发现者雅可比,在1849年庆贺高斯得博士学位五十周年纪念宴会上,他是哥廷根大学的贵宾, 被安排坐在高斯的旁边。雅可比想跟高斯谈数学,但高斯避开话题不谈。


十五解聘七教授事件
英王兼汉诺威王威廉四世(William IV) 在1837年6月逝世。 他虽然不干练,倒也是一位慈爱的国王。 由于他无子嗣,英王由他的侄女维多利亚继承。她是女子,依照汉诺威律法不能继任汉诺威王位,改由她的叔父,威廉四世昏庸的五弟 Ernst August 当汉诺威王,称为乔治五世(George V)
1837年9月12日至20日哥廷根大学庆祝大学成立百年庆。乔治五世与亚历山大·冯·洪堡都来参加。 庆典的场面盛大,热闹非常。 但是好景不长。
1837年11月乔治五世废止了前王威廉四世所订的民主宪法。于是哥廷根大学的七位教授 Dahlmann、G. G. Gervinus、W.E.Albrecht、Ewald(高斯女婿)、韦伯与格林兄弟(格林童话作者)联署抗议书。 国王一怒,12月12日解聘这七名教授。有一阵军队还开进,控制着整个哥廷根。
有人批评高斯,说如果他加入抗议行列,则分量足,事情不致于如此。可是高斯宁愿明哲保身,安静过他的研究生活。他也怕闹事会影响到哥廷根大学的声誉。的确,哥廷根大学因这事受损,要恢复它的名声花了五十多年。
高斯事后不便为女婿Ewald说项,倒是为韦伯奔走过。 他托洪堡给乔治五世进言。在一次宴会上乔治五世跟洪堡说:“用我的钱,我可以召来芭蕾舞娘、娼妓、教授,要多有多少!”洪堡一听便知趣,没提起替韦伯缓颊的事。而被解聘的七名教授们倒是被其他大学争相延聘。
1838年5月Ewald受聘于图宾根大学为东方语言教授,高斯宠爱的大女儿Minna于是跟丈夫Ewald赴图宾根。Ewald在那里认真工作了十年。 而 Minna因肺病在1840年8月12日在当地去世,让高斯非常悲伤。


十六高斯的教学
晚年高斯对教学比较卖力。 有一些优秀的学生在他底下受教,在数学方面有爱森斯坦(F. G. M. Eisenstein,1844)、黎曼(1846)、戴得金(Richard Dedekind,1850)与数学史家 Moriz Cantor(1850)等。
1844年放暑假时爱森斯坦(1823-1852)带着洪堡的介绍信来见高斯。高斯对待爱森斯坦就如同爱森斯坦是他钟爱的儿子般,并期许爱森斯坦将来的数学成就可与阿基米德、牛顿并列。爱森斯坦在他短促的一生中留下了五十篇文章。 倒是高斯认为爱森斯坦该有的地位被高斯本身取代了。
戴得金(1831-1916)描绘过高斯上课的情形:“师生们围着一张方桌坐着。高斯不让学生记笔记,要他们专心听讲。高斯很自在,清楚而平板地讲课。当他要强调某件事时他会以他那清澈的蓝眼睛盯着靠近他坐着的学生讲。 要写数学公式时他会站起来在他背后的黑板上用他那美丽的字体不占地方地写下来。如果得仔细推算的例子,他会带来写着相同数据的小字条来。”
十七晚年在高斯最后十数年,他看来好像完全安顿在他那中产阶级的生活中。 他的母亲在1839年4月18日去世,安享天年至97岁高龄。他在1840年出版《Atlas of TerrestrialMagnetism》。1843年4月6日出版《Memoir in Geodesy (I) 》 1846年又出版《Memoir in Geodesy (II) 》。1849年6月26日高斯早年的天文学家朋友 Bernhard August von Lindenau(1799-1854)来拜访他,让他好高兴。
1845年初哥廷根大学的学术参议会委托高斯重新组合濒临破产的教授寡妇基金会。高斯以他一贯的认真态度研究寡妇基金,解决了问题,挽救了这个基金会,使一批孤儿寡妇们很感激他。
事实上高斯本身很会理财,他年薪有一阵只有1000 thaler。 他的收入是薪水再加上选课学生的学费 (他的学生一向很少)。 但是他生活简朴,又因很会投资,他去世后遗产竟有十五万三千 thaler,而从桌子、抽屉、衣橱又找出一万八千余thaler的现款出来 [2]
1848年2月哥廷根大学闹学潮。激进派的学生领袖是Johann Miquel,他是 卡尔·马克思(Karl Marx) 的好朋友,有社会主义倾向。多数的学生是温和派,他们仅主张校内改革而已。军队一度也开进哥廷根来。而学生与警察间稍有冲突,不过事情没有闹大。哥廷根大学因这次学潮反而嬴得在汉诺威王国次于 Hildesheim,最前卫的学校的名声。
在这次学潮中,学校当局请出体能好的教授们站岗,维持学校境内的秩序。
Max Schneidewin 在1927年时回忆说 ,在1848年他6岁, 是哥廷根大学古代语言教授的儿子。2月事件时他看到他的父亲穿上黑外套,配上宽厚皮带,荷长枪去Geismar门边站岗。站岗的教授们听到住在附近的高斯要经过,便排成列。当高斯经过时他们便向他行举枪礼表示敬意。
可见在同事们心目中高斯崇高的地位。高斯本人也意识到他君临学术界的架势。
实际上高斯也获得各种荣誉, 各国学术机构争聘他为荣誉会员, 他又有许多封号,如早在1810年8月19日威斯特伐利亚国王 Jêrome 就封他为爵士 (Knight) ,1818年乔治三世(George III)赐封他参议 (Hofrat)。1845年乔治五世封他为首席参议 (Geheimes Hofrat)。 不过1848年4月20日高斯给 Wolfgarg Bolyai 的信中却说这些荣誉对他来讲好比是过眼烟云而已。
1848年的2月事件后汉诺威政府为了要弥补1837年事件以来的遗憾,想聘回被放逐的七位教授,但也只有韦伯与 Ewald 回来哥廷根大学。这可是晚年的高斯非常乐见的事哩。
1848年哥廷根大学内设立了“文艺博物馆”,后来改称为“联谊会”, 高斯也是会员之一。 设立它的用意在于拉近师生之间的距离,以免发生学生改革运动。 “联谊会”的地点设在一位希腊已故教授的宿舍。室内放置着各种非反动性的报章、杂志。 晚年的高斯散步到那儿,从早上十一点到下午一点,看报章杂志是他唯一的消遣。高斯会把他要看的有关政治、经济、文学和科学的报章杂志以想看的顺序叠成一堆放在椅子上,再坐上去以免被别人拿走,再一份一份抽出来看,必要时做做札记。 如果有学生拿走他要看的报纸,他会盯着学生看,看得那个学生慌慌张张站起来, 赶忙递给他那份报纸。 这么一来学生们便奉送他一个绰号:“报纸老虎”(Zeitung-tiger)了。
高斯从年轻时代一直对语文保持高度兴趣。 他对德国文学与哲学很在行,而最喜爱笔名为 Jean Paul 的 Friedrich Richter (1763-1825)的作品 。 因为 Richter的人品像他的老友 Bolyai。 他读遍与他同时代的歌德(Goethe,1749-1832)的作品,可是不喜欢,也不欣赏另一作家席勒(Schiller,1759-1805)。法国文学他念蒙田与卢梭等人的作品。俄文学则他偏爱普希金(1799- 1837)。 对英国文学他不喜欢莎士比亚,觉得莎士比亚写的作品悲情太多。依高斯的话,“人世间悲剧已经够多了。”他很喜爱沃尔特·斯各特(Sir Walter Scott,1771-1832)的作品。 不过高斯会在鸡蛋里挑骨头。 他看到斯各特写“满月从西北方升起”大笑不已,立即改正过来,还跑遍各书店查看这一句是不是印错了。
舒马赫与 Lindenau 在1850年、1854年相继过世,高斯常通信的老朋友只剩下Gerling、洪堡与Bolyai。
1854年黎曼因高斯推荐,要任职哥廷根大学的讲师,高斯从黎曼提出的三个题目中挑选黎曼匆促中加上的第三个:“On the Hypothesis that Underlie the Foundat ion of Geometry(英译)”。黎曼的演讲高斯听后赞叹不已。不过高斯最后的科学活动是跟Gerling讨论傅科钟摆的修正问题。 看来实际又具体的问题对他来说比黎曼的抽象复杂的概念问题要轻易多了。
1854年高斯做过全身检查,他的心脏有肥大现象,看来他的日子不多了。 但是他的健康又一时恢复过来,过后他还去听6月10日黎曼的讲师演讲会,也去参加 哥廷根与汉诺威市间的铁路开幕典礼。8月后他脚肿,勉强只能在屋内走动。12月7日本来以为高斯已经不行了, 但是他又好转过来。
同年12月19日高斯的同事、生理学及动物学教授 Rudolf Wager(1805-1864)拜访高斯。此君对宗教及灵魂等问题很有研究兴趣。23日与数日后 Wagner又来看高斯。高斯的家人及朋友们很反对Wagner这个举动。Wagner也就没有公开他所作的笔记,一直到 Wagner 去世后才由他的遗物中找出一些记载。由其中可以看出高斯相信生命的永恒。他说:“如果没有永恒,人世是无稽的,而整个创造是荒谬的。”
高斯一直拖到1855年2月23日清晨在睡眠中安祥去世,享年77岁。 他带的怀表在谢世几秒后停下,指针停在1点零5分。高斯的朋友们坐在邻室陪伴他,让他走完人生的这最后时刻。
1855年2月26日晨在哥廷根大学天文台观测所前的广场上举行高斯的葬礼。高斯的头上戴着桂冠,穿着紫色大学礼袍,躺在黑色灵柩内 ,周遭环绕着早春的花朵。众人瞻仰后灵柩由十二名专攻数学与科学的学生(其中包括戴得金) 抬到天文台前的广场。 面对着众多参与者,高斯的女婿Ewald与高斯的好朋友,哥廷根大学的教授Sartorius von Waltershausen(第一位写高斯传记)致吊辞, 推崇高斯为无比独特的天才,成就卓绝。葬礼后高斯被葬在哥廷根的St. Albans墓园。
高斯的脑被取下,它净重有410克,比拜伦(63.8 ounces)的轻,而比但丁(50.2 ounces)的重。高斯的脑有许多璇纹,纹路很深。
十八后代高斯的小女儿 Therese 自从姐姐 Minna 在 1838年搬离哥廷根后职掌家事,照顾老祖母(1849年去世)与高斯。 她生性忧郁,又多病痛。 在高斯去世后一年的1856年9月23日,Therese与已通信十四年的演员兼剧院导演 Wilhelm Staufenau(1809-1886)结婚, 1864年2月11日去世。Therese 没有孩子。
高斯在德国的子孙由 Jeseph 单传。 子孙中男丁在二次大战中或失踪或战死,只有一人生还。1936年后姓高斯的人只有三人,其中一人有心理碍障。高斯三男 Eugene 对他父亲一直有叛逆情结。 他几乎烧毁所有高斯给他的信。 甚至于他分得的父亲遗物,一面乔治五世颁给高斯的金章,也熔化成金边眼镜框来使用。Eugene 与四男 Wilhelm 壮年后在美国做生意成功,变成富翁。他们的后代兴旺。
十九结语高斯遗留下来的文件及与他私人相关的信函,还有他出版过的书全由哥廷根大学收集,并经哥廷根皇家科学院聘请专家学者如菲利克斯·克莱因等十人从1863年至1935年才整理妥当成十二卷书出版。
高斯的座右铭是“稀少,但成熟(Pauca sedmatura,Fewbutripe)。 他又主张作品不应该留下钻凿过的痕迹,就如同一座盖好的教堂毫不留下先前鹰架林立,辛勤劳作过的迹象般。所以高斯不多写,但写成的作品则以叙述简洁、内容丰实著称。
参考资料
[1] 数学 Seminar, 《100人の数学者》,日本评论社,东京, 1989。
[2] Tord Hall “Carl Friedrich Gauss, a Biography”, Transleted into English by Albert Froderberg,The MIT Press,Boston,1970.


大道至简 万物于弧
*滑动验证:
您需要登录后才可以回帖 登录 | 立即注册

本版积分规则

手机版|Archiver|小黑屋|国际弧学研究会    

GMT-7, 2025-12-18 04:35 , Processed in 0.590515 second(s), 22 queries .

Powered by Discuz! X3.1

© 2001-2013 Comsenz Inc.

快速回复 返回顶部 返回列表