设为首页收藏本站

弧论坛

 找回密码
 立即注册
搜索
热搜: 活动 交友 discuz
查看: 2474|回复: 0
打印 上一主题 下一主题

这可能是你不知道的量子理论——玻姆力学

[复制链接]

5917

主题

6625

帖子

7185

积分

坛主

Rank: 10Rank: 10Rank: 10

积分
7185
跳转到指定楼层
楼主
发表于 2021-12-19 17:32 | 只看该作者 回帖奖励 |倒序浏览 |阅读模式
这可能是你不知道的量子理论——玻姆力学

中科院物理所
[color=rgba(0, 0, 0, 0.3)]2021-12-19 13:03

The following article is from 返朴 Author 董唯元


众所周知,量子力学是物理学专业必修的一门课程。在众多经典教科书中,人们学习到的量子理论,几乎全部源于上世纪20年代诞生的波动力学和矩阵力学,其解释基于哥本哈根诠释。当然,也有许多人听说过其他的诠释,比如多世界诠释或者本文将要介绍的玻姆力学。

作为一种与一般教科书中截然不同的量子力学理论,玻姆力学其实已经发展多年,甚至在近些年相关研究者在实验检验和理论预言方面都做出了很好的工作,展现了这一理论的“威力”。然而,国内对于这一理论介绍和科普较少,本文将从玻姆力学的由来谈起,介绍其关键的“量子势”概念,希冀读者快速了解玻姆力学。


撰文 | 董唯元

量子测量问题,一直是所有量子理论都必须面对的重要问题之一。在正统量子力学教科书上,粒子的位置和动量这些可观测物理量,只有在被测量的瞬间才确定下来,平时则是裹挟着若干可能的值一起演化。

我们只要围绕着量子态进行一番计算,就可以对测量结果做出预言。但量子态本身不是个可以观测的对象,就像一个人的行为表现受他自己的性格支配着,但我们却无法通过解剖直接看到他的性格。

正如性格只是概率性地支配着行为一样,量子态也是概率性地描述着粒子的可能表现。从这个角度上说,量子态确实很像是粒子的性格,不过这个比喻的不恰当之处也非常明显。一个对中餐和西餐都非常热爱的吃货,不会因为吃了一顿西餐就彻底放弃中餐。可是一个原本同时包含自旋向上和自旋向下两种状态的粒子,却会在一次测量之后,就彻底地塌缩为向上或向下的单一状态。

对于这种在测量过程中产生跳变的量子态演化过程,我们要么借助多世界的说法,从总体上保留所有因果联系;要么干脆拥抱随机性,将概率置于比肩因果甚至更基础的层面。除此之外,我们是否还有其他的理解角度呢?

玻姆力学(Bohmian mechanics)就提供了一种完全不同的视角。借助一个神秘的“量子势(Quantum potential)”概念,玻姆力学可以将量子测量过程还原成直观经典图像。每个粒子都时刻具有确定的位置和速度,并在牛顿定律的制约下运动演化,其状态与是否被测量无关,更不会因测量发生跳变。这个理论坚定地维护着确定性因果在物理学规律中的核心基础地位,不需要粒子像孙悟空那样具有分身之术来支撑概率。至于实验现象中的那些概率性呈现,在这个理论中只是类似热力学一样的统计效应。


                               
登录/注册后可看大图
玻姆理论中粒子通过双缝后的行走路径丨图源:维基百科


玻姆力学的由来

玻姆力学也称“德布罗意-玻姆理论(De Broglie–Bohm theory)”,最初是作为一种量子理论的诠释被提出来。1926年薛定谔方程发表之后,物理学家们都在努力尝试理解方程中的波函数到底代表什么东西的振动。玻恩提出的概率波解释,尽管被巨擘爱因斯坦和薛定谔极力反对,却很快被玻尔为首的哥本哈根学派采纳。

与此同时,物质波概念的提出者,德布罗意,也在构建一种对波粒二象性的解读。他认为,时空中振动着的场应该是客观实体,而粒子则是由非常特殊的振动方式所形成的奇异点或奇异区域。这些奇异点能垂直于波阵面向前行走,就让我们以为看到了粒子。其实粒子本质上不是客观实体,只是波场中奇异几何点而已。

至于粒子所表现出的概率特性,则可以用辐射强度来解释。粗略地说,那个实体波振幅的平方就是辐射强度,而辐射强度大的地方出现奇异点的机会就更多。测量粒子时所看到的概率性呈现,只是一种统计效应,而不是玻恩所说的波动内容本身。

德布罗意将自己的诠释称为“双重解(double solution)”,因为它建立在同一波动方程的两种不同解之上,一种是普通的连续性解,承载着波动性,另一种是被视为粒子的奇异解,表现出粒子性。

在1927年那次物理学史上空前绝后的索尔维会议上,除了爱因斯坦与玻尔之间的精彩辩论之外,德布罗意也向众人展示了他的“双重解”思想。由于他将演讲的标题是“导航波(pilot wave)”,所以后来这一理论被更多地称为导航波理论,而不是双重解理论。


                               
登录/注册后可看大图
1927年第五次索尔维会议参与者,这29人中有17位诺贝尔奖得主。丨图源:维基百科

对导航波理论来说,在索尔维会议上的亮相是一场灾难。脑子快性子急的泡利当场指出,这个理论虽然能解释双缝干涉实验,但在更一般的场景中就只能描述单粒子的行为,当考虑两个粒子碰撞散射时,理论就会瞬间崩溃,更遑论复杂的多粒子系统。

被驳斥得哑口无言的德布罗意事后很快放弃了自己的想法,从此服服帖帖地皈依哥本哈根诠释,奉玻恩定则为圭臬。参会的其他顶级大咖也都目睹了这一幕,在此后的很长一段时间内,那一代研究者都对导航波理论敬而远之。直到25年之后的1952年,这个理论思想才由大卫·玻姆(David Bohm)重新挖掘出来并加以修葺。

与德布罗意的想法不同,玻姆认为粒子就是真实的客观实体,不是波场中的奇异点,同时波也是客观实体。所谓“波粒二象性”就是指,每个实体粒子都像傀儡一样被自己的导航波挟持着。撞墙的事情由粒子来做,对外表现出能量交换时的粒子性;而运动时的路线被导航波约束着,表现出波动性。当然,如果有多个粒子存在,导航波也会互相干扰,每个粒子的运动也受到其他导航波的影响。


                               
登录/注册后可看大图
本图为作者自己乱画的大略示意图,请忽略图中数以吨计的不严谨细节。

在玻姆手中,这个理论不仅解决了多粒子体系的问题,完美回答了当年泡利的质疑,而且还能够解释量子隧穿、化学键形成机制、AB效应、超流、超导、惠勒延迟选择实验等等量子现象,可以说其解释世界的能力完全不输教科书上的哥本哈根诠释。

可惜玻姆本人在学术研究的黄金期遭遇霉运连连。冷战时期,他被美国政府怀疑是共产主义者。1950年麦卡锡主义正盛之时,玻姆被拘捕关押,次年虽被释放,但已经失去了继续在美国进行学术研究的机会,无奈只能流落到巴西。

玻姆所发展的导航波理论2.0版本,正是他在巴西期间的研究成果。1955年玻姆辗转到了以色列,1957年又移居英国。多年的漂泊并没有扼杀他的研究热情,他在以色列期间对EPR佯谬的详细逻辑梳理和重新阐释,为后来贝尔发现著名的贝尔不等式做出了重要铺垫。


                               
登录/注册后可看大图
大卫·玻姆(David Bohm ,1917-1992) 丨图源:维基百科

但是玻姆本人却因非学术的因素,一直受困于学术界的边缘地带。尽管早在二战刚结束时,30岁出头的玻姆就已经是普林斯顿大学的助理教授,但是直到1961年,44岁的他才在英国伦敦大学伯克贝克学院获得教授职位。而1959年玻姆与他的学生阿哈罗诺夫发现惊人的AB效应时,他还只是英国布里斯托大学的普通研究员。

在这样的背景下,主流物理学界对玻姆力学虽有所关注,但真正的跟进研究却少之又少,远不及其所应得的程度。从1952年提出理论到1992年逝世,在40年的时间里,除了贝尔等寥寥几位物理学家的力挺,玻姆几乎一直都是在孤独地耕耘着这片土地。


玻姆力学中的“量子势”

许多物理学家漠视玻姆理论的理由,都是认为“量子势”太难以理解,爱因斯坦就曾评价其为“物理理论中的童话故事”。然而事实果真如此吗?让我们先来看看这个引来许多物理学大家微词的“量子势”到底是什么。

量子势这一概念是由玻姆首先引入的,在先前德布罗意的导航波理论中并没有这个概念。从数学上推导出量子势的过程非常简单,只要把波函数写成 Ψ=ReiS/ћ 的形式,然后再代入薛定谔方程


                               
登录/注册后可看大图

就会得到两个关系:


                               
登录/注册后可看大图



                               
登录/注册后可看大图

第二个等式非常直观,▽S是动量,▽S/m 就是粒子的运动速度,整个式子就是R2这个量的守恒流方程。第一个等式则比较有趣,容易看出在宏观世界中ћ→0,这个等式就自然回归到经典力学的哈密顿-雅克比方程


                               
登录/注册后可看大图

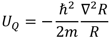
于是我们就能感觉到,微观世界里的奇特量子性质,应该都蕴藏在那个紫色项中。没错,这一项就是玻姆所定义的“量子势”。


                               
登录/注册后可看大图

我们可以像使用普通势能一样来使用这个量子势,比如把粒子的运动方程写成


                               
登录/注册后可看大图

一个再熟悉不过的牛顿定律,就妥妥地描述了粒子的行动轨迹!其中 -▽UQ 就是一种力,在微观世界里产生各种量子效应的力。

如此省心省力又与宏观经典力学几乎无缝衔接的模型,为什么会使顶级物理学家们费解呢?

我们再仔细观察一下量子势UQ的表达式就会发现,里面虽然出现了代表着导航波振动能量的振幅R,但无论将R放大或缩小多少倍,UQ都不会变化。熟悉几何的读者也许还能看出来,UQ似乎对应着R的某种曲率。

也就是说,量子势的大小与导航波携带的振动能量无关,导航波在对粒子实施作用时,也没有动用自身的能量。还可以更进一步明确地说,在玻姆理论中,导航波与粒子之间的作用是单向的,导航波是主动方,粒子是被动方,不存在反向的作用。导航波向粒子展示自己振幅的曲率,从而“告诉”粒子该如何运动。

这种不以能量交换为基础的,又是单向的作用,已经超出了物理学对“相互作用”这个概念的定义。玻姆认为,这是一种基于信息传递的作用机制,所以有时候也干脆直接把称为“信息势(information potential)”。

举一个简单的例子:生活中如果我看到一篇令人茅塞顿开的文章,会兴奋地跳起来,文章对我就产生了作用,使我的运动状态发生了改变,而我对这篇文章则没有任何反向作用。这些经验虽能帮助我们体会玻姆所说的新作用机制,但是如果要严肃纳入物理学理论体系,确实需要鼓起许多勇气,克服许多焦虑,更重要的是,还需要面对许多由此产生的问题。

例如,如果说粒子通过接收导航波的信息来确定自己的运动状态,是否说明粒子本身必须具备足够精巧复杂的内部结构?最起码需要支撑起接收、识别和处理信息的能力。果真如此的话,粒子又怎么可能是构成物质世界的最基本单元呢?

玻姆本人对许多相关问题都进行了细致深入的思考,临终前他与同事巴兹尔·希利共同撰写了阐述玻姆力学思想的重要著作The Undivided Universe,这本书在玻姆去世后正式出版。书中相当一部分篇幅都是在谈及这类特殊的作用机制。

在我看来,对这种新作用机制的质疑,虽显得有些保守狭隘,却也有一定合理之处。但是其他那些因缺乏了解所产生的质疑,则多少有些不公甚至失实。


偏见和误解

即使在物理学专业人士中,提及玻姆力学也经常听到如下指摘:
  • 量子势的非定域性会导致超光速,违背了相对论;
  • 理论没有协变性,无法与相对论时空调和;
  • 不能提供粒子产生/湮灭机制,无法与场论调和;
  • 与教科书版本量子理论实质等价,不能提供独立实验预言。


其实所有这些说法都不够合理。
如果只一般性地谈论非定域性,这根本不是玻姆理论特有的属性,而是无论哪种量子理论诠释都必然具备的特征。事实上,从冯·诺依曼到贝尔的研究都早已证明,任何固守定域性的理论,都注定无法符合实验事实。
诚然,玻姆理论中的非定域性与哥本哈根诠释中的非定域性有着本质的不同,后者通过含糊其辞回避了信息的超光速传递,而玻姆理论则无法回避这一禁忌。在两个同种粒子的系统中,量子势变成了



                               
登录/注册后可看大图

其中R是相空间中波函数Ψ(r1, r2, t)=ReiS/ћ 的振幅,r1和r2是两个粒子的位置,▽1和▽1分别对应两个粒子所在位置在t时刻的空间导数。



我们可以阅读出,多粒子系统的量子势,从定义形式上就是一个非定域的全局量。如果每个粒子都从这个全局的量子势中获取信息,来决定自己的运动方式,那么就必须得先承认信息能够在空间中不受光速限制的传递。


如此看来,似乎受到质疑也颇有道理。可是不要忘了,相对论所限定的信息和因果关联无法超越光速,仍然是先假定信息传递以能量交换为基础,实质上相对论所限定的只是能量传递速度。而如前文所述,玻姆理论所引入的新作用机制,恰恰不依赖能量交换,如果那种新机制果真存在,那么其不受光速限制只是一个非常自然的结果。


关于相对论的调和,从多粒子系统的量子势中可以看到,“不同空间位置的同一时刻”这种说法确实有违相对论思想。玻姆本人也早就意识到这一点,将相对论时空观纳入玻姆力学一直是其重点工作之一。经过不断探索,他已经成功地实现了这一目标,在The Undivided Universe一书中,还专门辟出整章节来论述相关内容。


除了玻姆本人的工作之外,在上世纪90年代之后,还陆续出现了一些其他将玻姆力学相对论化的努力方向,也都取得了相当不错的结果。德国数学家理论物理学家Detlef Dürr及其研究团队,印度物理学家Partha Ghose,克罗地亚物理学家Hrvoje Nikolić等研究者都分别从不同角度成功地将玻姆力学推广到了相对论时空中[1-8]


其中Detlef Dürr研究团队和Hrvoje Nikolić还分别以不同方式引入了粒子的产生/湮灭机制,从而拉通了玻姆力学与量子场论的联系。英国研究者George Horton和Chris Dewdney走得更远,他们不仅将玻姆力学与平直时空的量子场论成功调和,在2010年甚至将这一理论发展到了可以容纳引力的程度[9-11]


至于玻姆理论与教科书版本量子理论的等价性,就更是不了解的人对这个理论的误解。首先,仅从诠释的角度来说,不同的诠释之间本身就未必等价;其次,玻姆力学从数学形式到物理内涵都与教科书上的量子理论有所区别。所以玻姆理论不只是对量子现象的另一种诠释,也是实质上完全不同的另一种量子理论,当然可以给出独立的实验预言。


玻姆力学的实验检验

可以付诸实验检验的部分主要有两点:


一是粒子分布概率。在教科书版本的量子理论中,粒子分布概率ρ与波函数Ψ之间必然满足ρ=|Ψ|2,这是被称为玻恩定则的铁律,是量子理论基本前提假设之一。然而玻姆力学则将此视为某种“平衡状态”下的统计结论,就如同热力学系统的热平衡状态一样,在特殊条件下完全有可能出现ρ≠|Ψ|2的“非平衡状态”。


二是粒子的经典运动轨迹,这也是玻姆理论最为直观鲜明的特征。如果能通过实验展现出粒子确实仅沿着一条光滑轨迹运动,而不是如鬼魂般弥散于一片区域之中,那将无疑是理论有力的佐证。或者更直白地说,只要在双缝干涉实验中,能在不探测的前提下证明粒子只通过了其中一个缝而不是如教科书所说同时通过了两个缝,就能使可信度的天平向玻姆理论倾斜。


然而起初的探索却是恰恰相反的结果。1992年四位研究者Englert,Scully,Süssmann和Walther提出了一个思想实验,其推演结论给玻姆理论的可信度蒙上了厚厚的阴影,后来这个实验就被称为ESSW实验[12]。这个思想实验是在双缝干涉实验的基础上,增加了一些特殊环节,目的在于“欺骗”导航波和粒子。


根据他们的理论推演,如果粒子的运动机制如玻姆理论所说,那么在ESSW实验中,粒子将表现出令人难以置信的运动轨迹。研究者们称之为“超现实轨迹(surreal trajectory)”。从这个措辞也能够看出,几位研究虽然没有直接决绝地否定玻姆理论,但显然已经产生了深深的质疑。


峰回路转的一刻发生在2016年,加拿大物理学家Steinberg借助量子弱测量技术将ESSW实验付诸实践,居然得到了支持玻姆理论的结果[13]。这一结果虽然尚不能一锤定音地宣称玻姆理论的胜利,但也使包括Steinberg本人在内的许多研究者,立即对玻姆理论的兴趣和信心大增。在此后的很短时间内,相关的实验验证研究热情明显有所提升。


2019年Detlef Dürr研究团队又从ρ≠|Ψ|2这个角度出发,寻找到一个新的实验方法[14]。具体来说,他们建议测量电子从A点运动到B点所用的时间,更准确地说,是测量这个“飞行时间”的概率分布情况。依照教科书版本量子理论,无论电子运动过程中,周边环境发生什么变化,这个飞行时间的分布将永远严格遵循ρ=|Ψ|2规则限定。而依照玻姆理论,突然发生的环境变化会破坏“量子平衡态”,就像在冷水中突然注入热水一样,系统需要经过一个弛豫时间才能重新达到平衡,而在达到新平衡之前,ρ≠|Ψ|2的情况就会出现。


随着实验技术能力的提升,最近一个德国研究团队正在计划将这一实验设想付诸行动。这已经引起了许多关注,但愿这个实验能够尽快顺利启动。可惜的是Detlef Dürr本人已经在今年年初不幸过世,无法亲眼见证他所提出的实验设想究竟会得出什么样的实际结果。

玻姆力学的理论预言丰富

如果实验能够证明玻姆理论的正确,那将肯定是基础理论领域的一件大事。然而即使在没有得到确凿的实验验证之前,仅作为理论模型的玻姆力学,也已经在许多领域发挥着重要作用。


在原子/分子尺度,或在量子多体问题中,由于粒子数量多,系统的自由度也随之增多,经常会出现计算量爆炸的情况。而如果在看不清物理过程时就轻易进行近似处理,很容易丢失遗漏掉那些藏在细微处的关键因素。


玻姆理论的优势就在于既能平滑衔接宏观经典的计算处理框架,又能充分提供微观层面的量子效应和机制,而且还能通过经典化粒子路径将复杂的作用或演化过程清晰直观地展现出来。所以在原子/分子物理、材料科学、化学物理、光学……这些领域中都能看到玻姆理论工具的广泛使用。


当然玻姆理论的价值绝不仅仅是简化计算方法和直观化物理过程,它甚至还可以帮助我们理解宇宙深处的奥秘。2014年,中国科学院武汉物理与数学研究所的蔡庆宇与同事发现宇宙可以通过量子机制自发产生[15],也就是解释了宇宙早期暴涨的原因。他们在论文中通过使用玻姆理论模型,发现在早期宇宙中,量子势自然地扮演了宇宙常数的角色,量子效应是早期宇宙暴涨的根源。


除了向各种研究领域输送弹药,玻姆理论自身也在不断从其他研究成果中吸收着营养。2019年,挪威研究者Gregory Duane受到ER=EPR的思想启发,从广义相对论的时空结构中推演出了玻姆力学的量子势[16],从而揭示出量子势的非定域性原来是拜普朗克尺度的时空虫洞所赐。如此一来,似乎量子势的非定域性也没那么难以理解了。


直到如今,玻姆力学仍有许多有趣且深刻的问题在等待着人们去探索,愿这片沃土上继续结出更多美丽硕果。


致谢:感谢审稿人的专业建议。




参考文献
[1] Dürr, D.; Goldstein, S.; Münch-Berndl, K.; Zanghì, N. (1999). "Hypersurface Bohm–Dirac Models". Physical Review A. 60 (4): 2729–2736. arXiv:quant-ph/9801070. Bibcode:1999PhRvA..60.2729D. doi:10.1103/physreva.60.2729. S2CID 52562586[2] Dürr, Detlef; Goldstein, Sheldon; Norsen, Travis; Struyve, Ward; Zanghì, Nino (2014). "Can Bohmian mechanics be made relativistic?". Proceedings of the Royal Society A: Mathematical, Physical and Engineering Sciences. 470 (2162): 20130699. arXiv:1307.1714. Bibcode:2013RSPSA.47030699D. doi:10.1098/rspa.2013.0699. PMC 3896068. PMID 24511259[3] Ghose, Partha (1996). "Relativistic quantum mechanics of spin-0 and spin-1 bosons". Foundations of Physics. 26 (11): 1441–1455. Bibcode:1996FoPh...26.1441G. doi:10.1007/BF02272366. S2CID 121129680[4] Ghose, Partha; Majumdar, A. S.; Guhab, S.; Sau, J. (2001). "Bohmian trajectories for photons". Physics Letters A. 290 (5–6): 205–213. arXiv:quant-ph/0102071. Bibcode:2001PhLA..290..205G. doi:10.1016/s0375-9601(01)00677-6. S2CID 54650214[5] Nikolić, Hrvoje (2005). "Relativistic Quantum Mechanics and the Bohmian Interpretation". Foundations of Physics Letters. 18 (6): 549–561. arXiv:quant-ph/0406173. Bibcode:2005FoPhL..18..549N. CiteSeerX 10.1.1.252.6803. doi:10.1007/s10702-005-1128-1. S2CID 14006204[6] Nikolic, H (2010). "QFT as pilot-wave theory of particle creation and destruction". International Journal of Modern Physics. 25 (7): 1477–1505. arXiv:0904.2287. Bibcode:2010IJMPA..25.1477N. doi:10.1142/s0217751x10047889. S2CID 18468330[7] Nikolic, H. (2009). "Time in relativistic and nonrelativistic quantum mechanics". International Journal of Quantum Information. 7 (3): 595–602. arXiv:0811.1905. Bibcode:2008arXiv0811.1905N. doi:10.1142/s021974990900516x. S2CID 17294178[8] Nikolic, H. (2011). "Making nonlocal reality compatible with relativity". Int. J. Quantum Inf. 9 (2011): 367–377. arXiv:1002.3226. Bibcode:2010arXiv1002.3226N. doi:10.1142/S0219749911007344. S2CID 56513936[9] Dewdney, Chris; Horton, George (2002). "Relativistically invariant extension of the de Broglie Bohm theory of quantum mechanics". Journal of Physics A: Mathematical and General. 35 (47): 10117–10127. arXiv:quant-ph/0202104. Bibcode:2002JPhA...3510117D. doi:10.1088/0305-4470/35/47/311. S2CID 37082933[10] Dewdney, Chris; Horton, George (2004). "A relativistically covariant version of Bohm's quantum field theory for the scalar field". Journal of Physics A: Mathematical and General. 37 (49): 11935–11943. arXiv:quant-ph/0407089. Bibcode:2004JPhA...3711935H. doi:10.1088/0305-4470/37/49/011. S2CID 119468313[11] Dewdney, Chris; Horton, George (2010). "A relativistic hidden-variable interpretation for the massive vector field based on energy-momentum flows". Foundations of Physics. 40 (6): 658–678. Bibcode:2010FoPh...40..658H. doi:10.1007/s10701-010-9456-9. S2CID 123511987[12] Englert, Berthold-Georg; Scully, Marian O.; Süssmann, Georg; Walther, Herbert (1992). "Surrealistic Bohm Trajectories". Zeitschrift für Naturforschung A. 47 (12): 1175. Bibcode:1992ZNatA..47.1175E. doi:10.1515/zna-1992-1201. S2CID 3508522[13] Mahler, D. H; Rozema, L; Fisher, K; Vermeyden, L; Resch, K. J; Wiseman, H. M; Steinberg, A (2016). "Experimental nonlocal and surreal Bohmian trajectories". Science Advances. 2 (2): e1501466. Bibcode:2016SciA....2E1466M. doi:10.1126/sciadv.1501466. PMC 4788483. PMID 26989784[14] arXiv:1901.08672v1 [quant-ph] 24 Jan 2019[15] Phys. Rev. D 89, 083510 (2014)[16] https://doi.org/10.1016/j.physleta.2018.12.015



大道至简 万物于弧
*滑动验证:
您需要登录后才可以回帖 登录 | 立即注册

本版积分规则

手机版|Archiver|小黑屋|国际弧学研究会    

GMT-7, 2025-10-29 07:21 , Processed in 0.561847 second(s), 22 queries .

Powered by Discuz! X3.1

© 2001-2013 Comsenz Inc.

快速回复 返回顶部 返回列表